Een helpende hand
Inzicht in gemeentelijk armoedebeleid
Voorwoord
Armoede is een ingewikkeld probleem met veel facetten. Uit onderzoeken en persoonlijke verhalen blijkt dat er uiteenlopende redenen zijn waardoor mensen geldzorgen krijgen en in armoede leven. Wat de oorzaak ook is, de gevolgen zijn groot en ingrijpend, voor volwassenen Γ©n voor kinderen. Armoede maakt het lastig om financieel het hoofd boven water te houden. Maar het is veel meer dan een tekort aan geld. Armoede kan ook leiden tot mentale en fysieke problemen, schaamte, eenzaamheid, het minder mee kunnen doen in de samenleving en minder kansen op een goede opleiding of werk.
Als je in armoede leeft, maakt het uit in welke gemeente je woont. Het Rijk bepaalt weliswaar het inkomensbeleid, maar gemeenten hebben ook een belangrijke rol en vrijheid om inwoners met geldzorgen te ondersteunen. Die aanpak verschilt: uit een rapport van de Commissie Sociaal Minimum (2023) bleek dat de gehanteerde inkomensgrenzen en de hoogte van de ondersteuning van gemeente tot gemeente flink uiteenlopen.
Tegen deze achtergrond heeft de Rekenkamer Den Haag begin 2024 positief gereageerd op een verzoek van de Haagse gemeenteraad om onderzoek te doen naar de oorzaken van de relatief hoge armoedecijfers in Den Haag en naar de regelingen van de gemeente om inwoners met een laag inkomen te ondersteunen.
In dit rapport lichten we de uitkomsten van dit onderzoek toe. HiermeeΒ hopen we de gemeenteraad te voorzien van handvatten om de discussie over de armoederegelingen goed geΓ―nformeerd te voeren.
We bedanken de medewerkers van de gemeente Den Haag voor hun medewerking, evenals de vertegenwoordigers van diverse organisaties en adviesraden die wij in het kader van dit onderzoek hebben gesproken. Dankzij hen hebben wij beter zicht gekregen op de armoederegelingen, die voor veel inwoners van Den Haag een groot verschil maken.
Samenvatting
De Haagse gemeenteraad verzocht de rekenkamer in een motie onderzoek te doen naar het armoedebeleid. Deze publicatie geeft inzicht in de opzet en werking van de Haagse armoederegelingen en mogelijke gemeentelijke invloed op de armoedecijfers. Deze publicatie is informerend van aard en bevat geen bestuurlijke oordelen of aanbevelingen.
Het college ondersteunt mensen in armoede actief. De Haagse armoederegelingen leveren een belangrijke bijdrage aan de basisbehoeften van mensen met een laag inkomen. Toch nemen de regelingen armoede niet weg. Dat is omdat ze wel invloed hebben op de uitgaven van huishoudens, maar het inkomen niet verhogen. De regelingen hebben daarom ook geen invloed op het armoedecijfer. Dat armoedecijfer is in Den Haag, net als in Rotterdam en Amsterdam, hoger dan in de rest van Nederland. Dat komt omdat in deze grote steden meer mensen wonen die een hoger risico op armoede hebben. Om armoede zelf aan te pakken kan de gemeente haar beleid richten op deze risicofactoren.
Den Haag gaat relatief ruimhartig met armoederegelingen om
We constateren dat de gemeente mensen met weinig geld relatief veel ondersteuning geeft. De gemeente helpt niet alleen de belangrijkste basisbehoeften te vervullen van mensen met een laag inkomen, ze geeft ook aanvullende ondersteuning zoals vergoeding van kosten voor huisdieren. In Den Haag heeft een relatief grote doelgroep van inwoners recht op armoederegelingen en de gemeente biedt deze mensen ook relatief veel ondersteuning.
College actief om bereik en toegankelijkheid armoederegelingen te vergroten
Het college is actief bezig met het vergroten van het bereik van de regelingen. Het heeft daarbij als concreet doel gesteld voor het einde van de huidige collegeperiode in 2026 meer mensen te willen bereiken met ten minste één armoederegeling: van de huidige 80% van de doelgroep naar 85% van de doelgroep. We kunnen niet voorspellen of dit gaat lukken. Wel zien we dat het college veel doet om de toegankelijkheid van de regelingen te verbeteren. Bijvoorbeeld door de regelingen breed onder de aandacht te brengen en het aanvraagproces eenvoudiger te maken. Tegelijk zet het college minder in op verbeteringen in de omgang met gebruikers van regelingen en de continuïteit van de ondersteuning.
Monitoring gemeente niet gekoppeld aan concrete doelen
Het college verzamelt veel gegevens en stuurt de raad regelmatig rapportages over het bereik en de effecten van het armoedebeleid. Toch is niet vast te stellen of de gemeente dankzij het armoedebeleid haar doelen realiseert. Dat komt vooral doordat de doelen niet concreet zijn en het in de monitoring in veel gevallen ontbreekt aan een heldere koppeling met de doelen. Daarnaast hangt het realiseren van de doelen voor een groot deel af van omgevingsfactoren.
Hogere armoedecijfers Den Haag grotendeels verklaard door samenstelling bevolking
In de motie waarin de raad de rekenkamer verzocht om onderzoek naar het armoedebeleid te doen, stond dat Den Haag een hoog armoedecijfer heeft. Den Haag kent ten opzichte van heel Nederland inderdaad meer armoede, maar is hierin vergelijkbaar met Rotterdam en Amsterdam. In deze drie steden wonen namelijk meer mensen die een hoger risico op armoede hebben dan gemiddeld in Nederland.
Geen directe relatie tussen armoederegelingen en armoedecijfers
De armoederegelingen hebben geen directe invloed op armoedecijfers. Armoede wordt namelijk vooral veroorzaakt door een laag inkomen en aan het inkomen mag de gemeente niets doen. De armoederegelingen bieden ondersteuning voor mensen met een laag inkomen om problemen te voorkomen en de gevolgen van armoede te verzachten. De regelingen zorgen echter niet voor een hoger inkomen en dus een lager armoedecijfer. Het Rijk bepaalt wat het minimuminkomen in Nederland is en welke aanvullende inkomensvoorzieningen beschikbaar zijn. Het Rijk heeft daarmee de meeste mogelijkheden om de armoedecijfers te beΓ―nvloeden.
Aanpalend gemeentelijk beleid kan armoedecijfers beΓ―nvloeden
Gemeenten kunnen beleid inzetten om mensen die in armoede leven meer kansen te bieden op een beter inkomen en kunnen hierdoor indirect invloed uitoefenen op de armoedecijfers. Zo hebben gemeenten enige invloed op het inkomen met beleid op het gebied van sociale zekerheid en werk. Bij het nieuwe armoedecijfer kunnen gemeenten ook enige invloed uitoefenen door vaste lasten te verlagen.[1] Gemeenten kunnen ook bijdragen aan kansengelijkheid en risicopreventie met beleid op het gebied van onderwijs, zorg en sociale cohesie.
Inleiding
Met dit onderzoek maakt de Rekenkamer Den Haag inzichtelijk wat het gemeentebestuur doet om mensen in armoede te ondersteunen. Ook laten we zien welke acties het college onderneemt om het bereik en de toegankelijkheid van de armoederegelingen te verbeteren. Daarnaast geven we inzicht in de achtergronden van armoede en de mogelijkheden van de gemeente om invloed uit te oefenen op armoedecijfers. Het doel van dit onderzoek is het geven van inzicht in deze onderwerpen en niet om een oordeel te geven over het gevoerde beleid. Hiermee wil de rekenkamer de raad ondersteunen bij zijn kaderstellende en controlerende rol.
De gemeenteraad verzocht de rekenkamer in een motie van december 2023 de efficiency en toegankelijkheid van het Haagse armoedebeleid te onderzoeken.[2] In de motie schreef de raad dat het armoedebeleid minima moet bereiken. Hij verzocht de rekenkamer te onderzoeken waarom Den Haag relatief hoge armoedecijfers heeft en of de armoederegelingen toegankelijk, makkelijk vindbaar en niet te bureaucratisch zijn.[3]
Naar aanleiding van dit verzoek hebben wij de gemeenteraad in januari 2024 laten weten een verkenning uit te zullen voeren naar het armoedebeleid (RIS317890). In de loop van 2024 heeft de rekenkamer besloten om de verkenning te laten uitmonden in een informerende publicatie, die ingaat op de onderwerpen uit de motie. Omdat zowel de gemeente als onderzoeksinstituten zoals het CBS en het Nibud veel onderzoek doen naar armoede en armoedebeleid, maken we in deze publicatie gebruik van bestaande informatie. Op basis van deze informatie doen wij feitelijke constateringen over het Haagse armoedebeleid en de armoedecijfers. Omdat we geen oordelen geven en geen aanbevelingen doen, heeft er geen bestuurlijk wederhoor plaatsgevonden.
Leeswijzer
In dit rapport gaan we in op de volgende onderwerpen. In hoofdstuk 1 laten we zien dat de regelingen voorzien in de belangrijkste basisbehoeften van mensen die in armoede leven. We laten vervolgens in hoofdstuk 2 zien dat de Haagse regelingen in vergelijking met andere gemeente relatief ruimhartig zijn. Veel mensen komen ervoor in aanmerking en de regelingen leveren relatief veel βwaardeβ in vergelijking met regelingen van andere gemeenten. Daarna kijken we in hoofdstuk 3 naar het bereik van de regelingen en de activiteiten die het college onderneemt om de toegankelijkheid ervan te vergroten. In hoofdstuk 4 gaan we in op de monitoring van de doelen van het armoedebeleid en de (on)mogelijkheden om de doeltreffendheid van de armoederegelingen te meten. In hoofdstuk 5 beschrijven we waarom het armoedecijfer in Den Haag, net als in andere grote steden, hoger is dan het landelijke gemiddelde. In hoofdstuk 6 laten we zien hoe gemeenten het armoedecijfer kunnen beΓ―nvloeden. We maken gebruik van numerieke voetnoten voor inhoudelijke aanvullingen en eindnoten met romeinse cijfers voor de bronvermelding.
1. Opzet Haagse armoederegelingen
In dit hoofdstuk geven we een overzicht van de armoederegelingen die de gemeente Den Haag aanbiedt om inwoners met een laag inkomen te ondersteunen. We beschrijven dat het Haagse armoedebeleid grotendeels aansluit op de basisbehoeften van de minimapopulatie, zoals gedefinieerd door het Nibud. Dit biedt ondersteuning bij verschillende noodzakelijke kostenposten. Soms gaat ondersteuning zelfs verder dan deze basisbehoeften. Voor kinderen en volwassenen is de manier waarop de ondersteuning wordt geboden wel verschillend opgezet.
Armoederegelingen gericht op problemen voorkomen en βmeedoenβ
Armoederegelingen bieden mensen met een laag inkomen financiΓ«le ondersteuning. De regelingen hebben niet als doel het inkomen structureel te verhogen. Het college geeft aan met de armoederegelingen te willen bijdragen aan kansengelijkheid en participatie.[4] Daarnaast hebben de regelingen als doel negatieve effecten van armoede tegen te gaan, zoals sociaal isolement, gezondheidsproblemen en kansenongelijkheid bij kinderen.[5]
Uit verschillende onderzoeken blijkt dat de gemeentelijke regelingen cruciaal kunnen zijn voor mensen met een laag inkomen. Regelingen kunnen helpen problemen te voorkomen en de gevolgen van armoede verzachten. Gemeentelijke regelingen kunnen bepalend zijn of mensen met een laag inkomen kunnen rondkomen, of zorgen dat mensen kunnen blijven meedoen in de samenleving.[6] Uit de Minima-effectrapportage van het Nibud blijkt dat bepaalde minimahuishoudens in Den Haag de gemeentelijke regelingen nodig hebben om rond te komen.[7]
In tabel 1 staat een overzicht van alle armoederegelingen van de gemeente Den Haag.[8] In de rest van het rapport gebruiken we een beknoptere lijst van regelingen om Den Haag te vergelijken met andere gemeenten. Dat doen we omdat een aantal regelingen, zoals bepaalde regelingen die gekoppeld zijn aan de Ooievaarspas, niet te vergelijken zijn met regelingen van andere gemeenten.
Tabel 1 Armoederegelingen van de Gemeente Den Haag
| Regeling | Wat houdt deze regeling in? | Vergoeding |
| Individuele inkomenstoeslag[9] | Een toeslag voor mensen met een langdurig laag inkomen waarmee zij grote uitgaven kunnen doen zoals een koelkast, eettafel of wasmachine. | Tussen de β¬ 360 en β¬ 800 per jaar[10] |
| Haagse zorgverzekering[11] | Een zorgverzekering waarmee het eigen risico is meeverzekerd en veel zorg gedekt wordt. Dit heeft als doel om toegang tot gezondheidszorg betaalbaar te maken voor iedereen. | Afhankelijk van het inkomen en de leeftijd geeft de gemeente een bijdrage van 0 tot 30 euro per maand |
| Bijzondere bijstand[12] | Een gift of lening voor mensen die door bijzondere, onvoorziene omstandigheden kosten moet maken die zij niet zelf kunnen betalen. | Afhankelijk van de aanvraag |
| Tegemoetkoming chronisch zieken en gehandicapten[13] | Een extra vergoeding voor huishoudens met een persoon met een langdurige ziekte of handicap om kosten van de ziekte te dekken. | β¬ 125 per jaar[14] |
| Kwijtschelding gemeentelijke belastingen[15] | Kwijtschelding van de gemeentelijke en waterschapsbelasting voor inwoners met onvoldoende betaalvermogen. | Afhankelijk van het inkomen, vermogen en de hoogte van de belasting[16] |
| Ooievaarspas[17] | Een pas die mensen kortingen geeft op activiteiten op het gebied van sport, cultuur en recreatie. Heeft als doel om sociale inclusie te faciliteren voor iedereen. | Vergoedingen in de vorm van kortingen. Afhankelijk van de regeling. |
| Kindpakket van stichting Leergeld Den Haag[18] | Voorzieningen en spullen voor schoolgaande kinderen met een Ooievaarspas. Hier vallen fietsen, schoolspullen, winterkleding e.d. onder. Dit heeft als doel om alle kinderen een gelijke kans te bieden. | Vergoedingen, korting, of verstrekking in natura. Afhankelijk van de regeling. |
| Gratis voorschool[19] | Ouders hebben recht om hun kinderen naar voorschool te sturen. Zo krijgen kinderen vroeg onderwijs en faciliteert de gemeente kansengelijkheid. | Gratis voorschool voor 16 uur in de week |
| Gratis ID-kaart voor jongeren[20] | Eenmalige vergoeding voor kosten van een Nederlandse identiteitskaart voor jongeren vanaf 12 jaar met een Ooievaarspas. | Gratis identiteitskaart |
| Gratis reizen in het openbaar vervoer voor AOWβers[21] | Mensen met de AOW-gerechtigde leeftijd met een Ooievaarspas reizen gratis bij de HTM. | In natura |
| Voetverzorging voor 70-plussers | Korting op voetverzorging voor 70-plussers met een Ooievaarspas. | Acht keer per jaar met korting naar de pedicure |
| Korting dagelijkse maaltijd[22] | Korting op een warme maaltijd in deΒ restaurants van Haagse welzijns- en zorginstellingen voor AOWβers met een Ooievaarspas, en voor chronisch zieken en gehandicapten | β¬ 2,20 korting per maaltijd per dag |
| Duurzame cadeaukaart[23] | Kortingen op energiezuinige elektrische apparaten voor mensen met een Ooievaarspas. | Kortingen tot β¬ 350 |
| Vergoeding dierenartskosten[24] | Tegemoetkoming voor mensen met een Ooievaarspas in kosten voor preventieve en medisch noodzakelijke behandelingen van huisdieren. | Tot β¬ 300 per huishouden per jaar |
Armoederegelingen sluiten grotendeels aan op basisbehoeften
De armoederegelingen van de gemeente Den Haag sluiten op veel punten aan op de basisbehoeften van de doelgroep, en bieden op een aantal punten meer. Ook armoede subsidies en aanpalend gemeentelijk beleid voorzien in een aantal basisbehoeften. Dat blijkt uit een vergelijking van basisbehoeften uit een onderzoek van het Nibud met het beleid van de gemeente (zie bijlage 1).
Het Nibud onderscheidt zeven categorieΓ«n van basisbehoeften:[25]
- woning en inboedel;
- televisie, internet en telefonie;
- verzekeringen;
- vervoer;
- voeding en andere uitgaven;
- sociale participatie;
- kleding en schoenen.
De gemeente biedt op alle zeven categorieΓ«n ondersteuning aan. De armoederegelingen van de gemeente Den Haag bieden onder meer hulp om noodzakelijke inboedel[26] te betalen.[27] Ook biedt de gemeente een (aanvullende) zorgverzekering aan.[28] Daarnaast draagt de gemeente bij aan het verstrekken van eten,[29] kleding[30] en een fiets[31] aan Ooievaarspashouders en met subsidies.[32] Ook heeft de gemeente regelingen voor basisbehoeften op het gebied van sociale participatie. Ooievaarspashouders hebben toegang tot boeken dankzij het gratis lidmaatschap van de bibliotheek.[33] Via subsidies voor Stichting Leergeld en Stichting Sintvoorieder1 is er tot slot ondersteuning voor het vieren van bepaalde feestdagen.[34]
Daarnaast biedt de gemeente ook ondersteuning bovenop de basisbehoeften. Enkele regelingen uit het armoedebeleid van de gemeente bieden hulp die volgens onderzoek van het Nibud niet als noodzakelijk geldt. De gemeente vergoedt bijvoorbeeld reizen bij de HTM voor ouderen met een Ooievaarspas en subsidieert gratis openbaar vervoer voor kinderen.[35] Via de Ooievaarspas vergoedt de gemeente aanvullend cultuur- of sportlessen en is er korting op uitjes.[36] Ook biedt de Ooievaarspas vergoeding van kosten voor huisdieren, een ID-kaart voor jongeren en korting op voetverzorging voor ouderen.[37]
Niet voor alle basisbehoeften bestaat Haagse gemeentelijke ondersteuning in de vorm van een regeling of subsidie. Allereerst stelt het Nibud dat een smartphone en computer voor volwassenen noodzakelijk zijn, net als internettoegang en een televisieabonnement. Hier zijn geen specifieke voorzieningen voor in Den Haag. Het Nibud noemt ook enkele vereisten aan woningen: dat elk kind een eigen slaapkamer heeft, dat het huis in een veilige buurt staat, en een balkon of tuin heeft. Hier heeft de gemeente geen gerichte regelingen voor. De gemeente investeert wel in de leefbaarheid en veiligheid van Den Haag Zuidwest.[38] Daarnaast zijn er drie typen verzekeringen die het Nibud noodzakelijk acht, waar geen regelingen voor bestaan in Den Haag: een inboedelverzekering, vrijwillige aansprakelijkheidsverzekering en uitvaartverzekering. De gemeente zegt hierover de kosten van deze verzekeringen te zien als algemene kosten van bestaan, die van het beschikbare inkomen moeten worden betaald.[39]
Manier van ondersteunen kinderen en volwassenen verschilt
Voor de voorziening in basisbehoeften is niet alleen wat er geleverd wordt belangrijk, maar ook hoe dat gebeurt. In Den Haag zien we daarbij een duidelijk verschil tussen de benadering voor kinderen en volwassenen. Kinderen krijgen hun basisvoorzieningen meestal in natura of in de vorm van een vergoeding, terwijl het college bij volwassenen vaker kiest voor een financiΓ«le tegemoetkoming of korting.
De gemeente biedt ondersteuning aan kinderen met de Ooievaarspas en met subsidie voor het kindpakket van Stichting Leergeld. Kinderen krijgen sport- of cultuurlessen vergoed en kunnen bijvoorbeeld een fiets, smartphone, speelgoed en winterkleding krijgen.[40] Voor volwassenen zijn er veel minder naturaregelingen voor specifieke basisbehoeften. Voor hen is het gros van de hulp opgezet in de vorm van kortingen of vergoedingen. Volwassen Ooievaarspashouders (met een inkomen tot 150% van het sociaal minimum) krijgen korting op sport en cultuur en op duurzaam witgoed, en voor ouderen is er korting op warme maaltijden en voetverzorging. Zij kunnen basisbehoeften bekostigen vanuit brede regelingen, zoals de individuele inkomenstoeslag[41] of de bijzondere bijstand.[42] Een andere mogelijkheid is om een lening af te sluiten bij de Gemeentelijke Kredietbank.[43]
De ondersteuning voor kinderen is daarmee anders opgezet dan ondersteuning voor volwassenen. Het is helder voor welke behoeften kinderen hulp kunnen krijgen, en hun recht op hulp staat vast. Doordat de Ooievaarspas toegang geeft tot het kindpakket, hoeft dit recht maar één keer te worden vastgesteld.[44] Voor volwassenen stelt de gemeente het recht op ondersteuning vaker per hulpvraag vast, waardoor het voor volwassenen op voorhand niet zeker is of zij op verschillende vlakken ondersteuning kunnen krijgen. Soms is het afhankelijk van hun omstandigheden of ze ondersteuning krijgen. Een kapotte wasmachine kan bijvoorbeeld via de bijzondere bijstand worden vergoed,[45] maar alleen in bijzondere of dringende situaties.[46] En een bijdrage voor grote uitgaven vanuit de individuele inkomenstoeslag is alleen beschikbaar voor inwoners die drie jaar lang een inkomen onder 110% van het sociaal minimum hebben.[47]
Daar tegenover staat dat de regelingen voor ondersteuning voor volwassenen breder zijn opgezet. De financiΓ«le bijdragen uit de individuele inkomenstoeslag, bijzondere bijstand, tegemoetkoming voor studenten en voor chronisch zieken en gehandicapten kunnen voor verschillende doeleinden worden ingezet.
2. Voorwaarden en waarde Haagse armoederegelingen vergeleken
Per gemeente verschilt onder welke voorwaarden inwoners ondersteuning kunnen krijgen bij een laag inkomen.[48] Inkomensgrenzen en vermogensgrenzen (en wat tot het vermogen gerekend wordt) variΓ«ren vaak per gemeente en ook per regeling.[49] Gemeenten hebben veel beleidsruimte om de voorwaarden voor hun armoederegelingen vast te stellen. Minstens zo belangrijk is wat er dan geboden wordt. Ook hier verschilt wat inwoners krijgen uit deze regelingen per gemeente.[50] Voor deze vergelijkingen maken we gebruik van data en analyses uit onderzoeken[51] van het Nibud[52], het Instituut voor Publieke Economie[53] en de Commissie Sociaal Minimum.[54]
Hoe ruimhartig een armoederegeling uiteindelijk is, wordt bepaald door de combinatie van de voorwaarden en de waarde van de regeling. Gemeenten maken hierin verschillende keuzes. In het eerste deel van dit hoofdstuk vergelijken we de voorwaarden van de Haagse armoederegelingen met andere gemeenten. De voorwaarden van gemeentelijke armoederegelingen zijn belangrijk voor de toegankelijkheid. Deze voorwaarden bepalen namelijk wie recht heeft op inkomensondersteuning, voor hoe lang en in welke gevallen.[55] Bij de individuele inkomenstoeslag richten sommige gemeenten zich bijvoorbeeld op een kleine groep en geven die een hoge toeslag, terwijl andere gemeenten een bredere doelgroep ondersteunen met een lager bedrag.
In het tweede deel richten we ons op de vraag wat armoederegelingen daadwerkelijk opleveren voor de doelgroepen. Ook vergelijken we de waarde van enkele regelingen met die van andere gemeenten. Een ruime doelgroep is immers één aspect van ruimhartigheid, ook de waarde van de regeling speelt een belangrijke rol. We vergelijken de gecombineerde waarde van stadspasregelingen en kindpakket-regelingen. Ook vergelijken we de waarde van de Individuele inkomenstoeslag. We vergelijken de waarde van deze gemeentelijke regelingen voor huishoudens tot 100%, 110%,130% en 150% van het sociaal minimum.
Haagse inkomensgrenzen hoger dan die van andere gemeenten
Met name de inkomensgrens[56] van 150% van het sociaal minimum[57] die Den Haag sinds 1 april 2024 voor veel regelingen aanhoudt, is in vergelijking met andere gemeenten zeer ruimhartig.[58] In vergelijking met andere gemeenten biedt Den Haag hierdoor de grootste groep minimahuishoudens ondersteuning. Deze inkomensgrens geldt voor de Ooievaarspas (en gekoppelde regelingen, zoals het kindpakket en gratis ov voor AOWβers), collectieve zorgverzekering en de vergoeding voor langdurig zieken en gehandicapten.[59] Uit twee recente vergelijkingen van verschillende gemeenten[60] blijkt dat de meeste van deze gemeenten armoederegelingen aanbieden aan huishoudens met een inkomen tot 120% of 130% van het sociaal minimum.[61]
Den Haag biedt een individuele inkomenstoeslag aan mensen die drie jaar lang een inkomen tot 110% van het sociaal minimum hebben. Deze inkomensgrens is lager dan voor bovengenoemde regelingen, maar in vergelijking met andere gemeenten nog steeds bovengemiddeld. Andere gemeenten gebruiken overwegend een inkomensgrens van 100% of 110%.[62] Een kwart van de gemeenten legt de grens hoger dan Den Haag, op 120% of 130%.[63]
Omdat de individuele inkomenstoeslag een langdurigheidstoeslag is, stelt deze ook voorwaarden aan hoe lang iemand onder deze inkomensgrens zit voordat hij of zij recht op steun heeft.[64] Gemeenten bepalen zelf wat zij verstaan onder βlangdurigβ.[65] In Den Haag moet iemand drie jaar lang een laag inkomen hebben.[66] Bij andere gemeenten ligt dit tussen de twee en vijf jaar.[67] Daarmee zit Den Haag ongeveer op het gemiddelde.
Ook voor kwijtschelding van gemeentelijke belasting kiest Den Haag een ruimere inkomensgrens, al is de wettelijke ruimte hier beperkt.[68] Hier geldt een wettelijke norm van 90% van het sociaal minimum, maar gemeenten mogen deze verruimen tot 100%.[69] Den Haag heeft hiervoor gekozen.[70]
In figuur 1 staat een overzicht van de verschillende regelingen en gehanteerde inkomensgrenzen in diverse gemeenten.

Figuur 1 Vergelijking inkomensgrenzen van regelingen per gemeente[71] in percentages sociaal minimum[72]
Hoeveel vrijheid gemeenten hebben om inkomensgrenzen te stellen, hangt af van de wettelijke grondslag van de regeling. Voor regelingen op basis van de Gemeentewet geldt de grootste beleidsruimte. De Participatiewet geeft kaders mee voor de individuele inkomenstoeslag en bijzondere bijstand, maar gemeenten hebben ruimte om dit beleid zelf vorm te geven.[73] Gemeenten kunnen bepalen hoe zij ermee omgaan wanneer het recht op ondersteuning vervalt. Ze kunnen ondersteuning getrapt afbouwen, of enige tijd laten doorlopen. Het is ook toegestaan een draagkrachtbeginsel toe te passen; dan bouwt de ondersteuning geleidelijk af.[74] Voor de kwijtschelding van gemeentelijke belastingen geldt relatief de minste ruimte, hoewel gemeenten ook hier een aantal keuzes in kunnen maken. Zij kunnen bijvoorbeeld kiezen om wel of geen kwijtschelding voor bepaalde belastingen te verlenen, en kunnen enkele kwijtscheldingseisen versoepelen.[75]
Haagse inkomensgrenzen bieden duidelijkheid, maar geven ook risico op een armoedeval.[76] In Den Haag is de inkomensgrens voor ondersteuning voor veel regelingen gelijkgetrokken op 150% van het sociaal minimum.[77] Dit maakt duidelijk wanneer iemand recht heeft op ondersteuning. Maar het betekent ook dat het recht op het grootste deel van de inkomensondersteuning in één keer vervalt op 150% van het sociaal minimum. Onderzoek wijst erop dat het tegelijkertijd wegvallen van ondersteuning uit meerdere regelingen kan leiden tot een armoedeval.[78] Den Haag heeft wel een zogenaamde ‘kraagregeling’ voor de Ooievaarspas (waar veel onderliggende regelingen aan zijn gekoppeld).[79] Dit houdt in dat inwoners die niet langer aan de inkomens- of vermogensvoorwaarden voldoen, hun Ooievaarspas nog gedurende het daaropvolgende jaar behouden.
Eenduidige vermogensgrenzen voor alle Haagse regelingen
Gemeenten maken niet alleen keuzes over inkomensgrenzen, maar ook over andere voorwaarden die zij aan ondersteuning verbinden. De belangrijkste daarvan zijn de vermogensvoorwaarden.
Gemeenten hebben ruimte om voorwaarden voor vermogen vast te stellen. Net als bij de inkomensgrens bepaalt de wettelijke grondslag of en in welke mate gemeenten een vermogensgrens moeten hanteren, de hoogte van die grens, eventuele ruimte om hiervan af te wijken en wat als vermogen wordt aangemerkt. Voor regelingen gebaseerd op de Participatiewet en Uitvoeringsregeling Invorderingswet 1990 is wettelijk bepaald[80] hoeveel vermogen een huishouden mag hebben.[81] Bij regelingen gebaseerd op de Gemeentewet is er meer beleidsvrijheid[82] en kunnen gemeenten er ook voor kiezen om af te zien van vermogensgrenzen.[83] Daarnaast hebben ze in sommige gevallen ruimte om bepaalde bezittingen geheel of gedeeltelijk buiten beschouwing te laten, bijvoorbeeld in het geval van bijzondere bijstand.[84]
Behalve voor de kwijtschelding van lokale belastingen, gebruikt Den Haag voor alle regelingen eenzelfde vermogensgrens uit de Participatiewet, de zogenoemde bijstandsnorm.[85] Ook bij op de Gemeentewet gebaseerde regelingen, zoals de Haagse zorgverzekering, de Ooievaarspas, en gratis openbaar vervoer voor AOWβers toetst Den Haag of het vermogen onder de grens uit de Participatiewet ligt.[86] Sommige gemeenten kiezen ervoor geen vermogensgrens te hanteren voor dit soort regelingen.[87]
Bij de vermogenstoets kiest Den Haag ervoor om bepaalde zaken niet mee te nemen in de berekening. In afwijking van de Participatiewet rekent Den Haag bij de bovenstaande regelingen bepaalde vermogensbestanddelen niet mee.[88] Het gaat dan bijvoorbeeld om een eigen woning. Dit voorkomt dat mensen worden uitgesloten van regelingen omdat zij vermogen bezitten dat zij niet makkelijk op korte termijn kunnen gebruiken om tekorten te compenseren.
Waarde Haagse regelingen bovengemiddeld
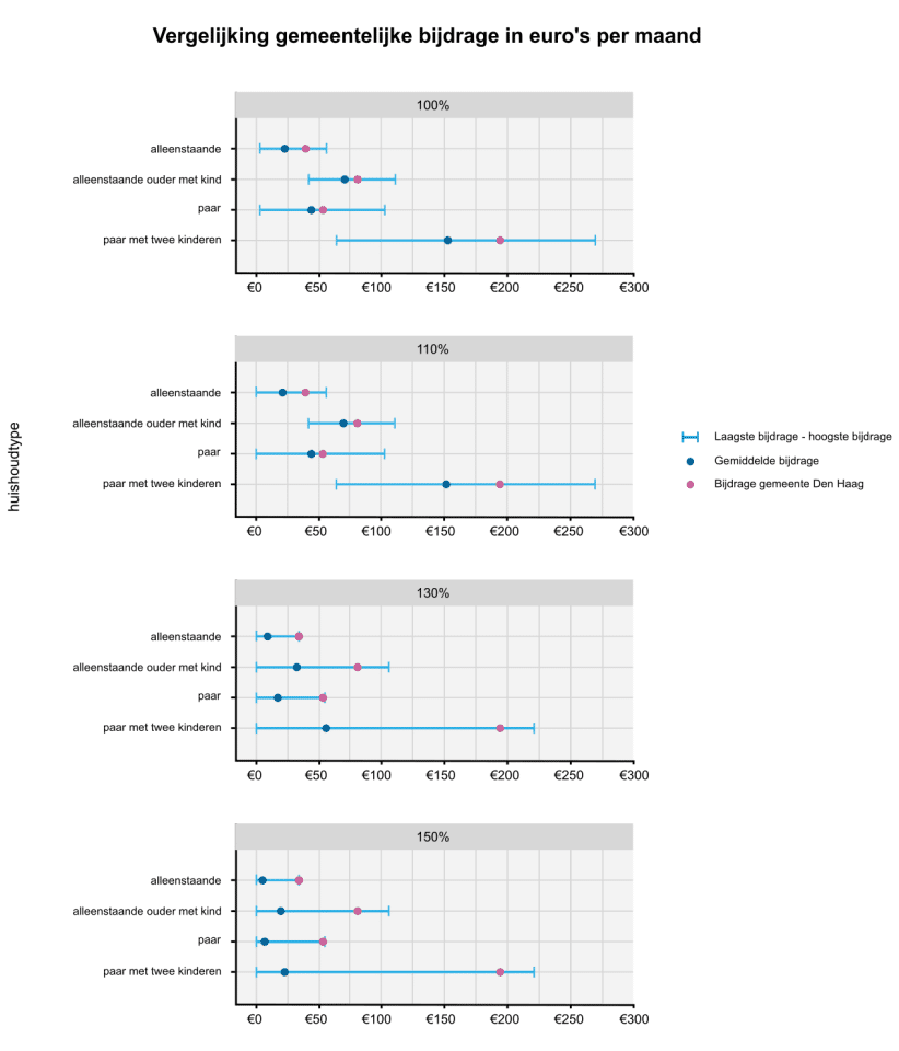
In vergelijking met andere gemeenten heeft Den Haag ruimhartige gemeentelijke regelingen, wanneer deze worden uitgedrukt in geld. De waarde van de Haagse gemeentelijke regelingen voor de doelgroepen tot 100% en 110% van het sociaal minimum ligt iets boven het gemiddelde van andere gemeenten. Voor de doelgroepen tot 130% en 150% van het sociaal minimum is de waarde ruim bovengemiddeld in Den Haag. Dat blijkt uit een onderlinge vergelijking van de waarde van enkele regelingen (stadspas en kindregelingen) van de gemeente Den Haag en 20 andere gemeenten door het IPE (zie Figuur 2).[89]
Verder valt op dat voor alle inkomensgroepen de hoogste bedragen worden uitgekeerd aan huishoudens met kinderen. Zo ontvangt in Den Haag een paar zonder kinderen omgerekend een waarde van β¬ 52 per maand, terwijl een paar met twee kinderen β¬ 191 per maand ontvangt.[90] Dit komt mogelijk omdat Den Haag en ook andere gemeenten over het algemeen meer inzetten op de ondersteuning van kinderen in armoede.[91]

Figuur 2 Vergelijking bijdrage uit gemeentelijke regelingen[92]
Bovengemiddelde inkomenstoeslag Haagse huishoudens met kinderen
De hoogte van de individuele inkomenstoeslag verschilt per gemeente en er is sprake van een grote spreiding tussen de gemeenten. Dit blijkt uit onderzoek van het Nibud.[93] Opvallend is dat gemeenten met relatief veel mensen in de bijstand gemiddeld een lagere inkomenstoeslag bieden dan gemeenten met minder bijstandsgerechtigden.[94] Het Nibud draagt als mogelijke verklaring aan dat gemeenten met veel bijstandsontvangers relatief minder middelen hebben per gerechtigde, waardoor de regelingen beperkter zijn.[95] Den Haag vormt hierop een uitzondering: hoewel de stad relatief veel bijstandsgerechtigden telt (zie hoofdstuk 5), biedt zij een gemiddelde, en voor huishoudens met kinderen zelfs bovengemiddelde, inkomenstoeslag. Dit is te zien in figuur 3, waarin we de Haagse inkomenstoeslag vergelijken met die van 20 andere gemeenten.

Figuur 3 Vergelijking individuele inkomenstoeslag[96]
De figuur laat zien hoe de hoogte van de toeslag per gemeente verschilt voor verschillende typen huishoudens. In de ene gemeente krijgt een gezin met oudere kinderen β¬ 120 per jaar, terwijl een vergelijkbaar gezin in een andere gemeente β¬ 960 per jaar ontvangt. Den Haag geeft in vergelijking met deze gemeenten voor de huishoudens zonder kinderen een gemiddeld bedrag en voor de huishoudens met kinderen een bovengemiddeld bedrag.
3. Initiatieven college om toegankelijkheid en bereik armoederegelingen te vergroten
In dit hoofdstuk bieden we inzicht in de initiatieven van het college om de toegankelijkheid van de armoederegelingen te verbeteren. Toegankelijkheid gaat over hoe makkelijk het voor mensen is om gebruik te maken van de regelingen. Het college doet daar veel voor: we laten zien dat het op zes belangrijke aspecten van toegankelijkheid concrete acties onderneemt. Deze aspecten hebben we overgenomen uit een kader van de Nederlandse Arbeidsinspectie (hierna: Arbeidsinspectie).[97][98] Dit kader gaat speciaal over de toegankelijkheid van gemeentelijke inkomensondersteuning.
Daarnaast bieden we inzicht in het bereik van de armoederegelingen. Bereik gaat over hoeveel mensen gebruik maken van de regelingen. Het is daarmee een belangrijke graadmeter voor de toegankelijkheid. De raad heeft als concreet doel gesteld om het verzamelbereik te verhogen van 80% naar 85% voor het einde van de coalitieperiode begin 2026.[99] Dat betekent dat er 5% meer mensen gebruik maken van ten minste één armoederegeling. Het college werkt hier gericht aan met het Programma Vergroten Gebruik. We geven eerst een overzicht van de acties die het college onderneemt om de toegankelijkheid van de regelingen te verbeteren. Daarna beschrijven we de maatregelen van het college om het bereik van de regelingen te verbeteren en de resultaten ervan.
College werkt aan toegankelijkheid van de armoederegelingen
Het college voert verbeteracties uit op alle zes aspecten van toegankelijkheid van de Arbeidsinspectie (zie figuur 4). Het aantal verbeteracties dat het college uitvoert, verschilt per aspect. Uit onze inventarisatie komt naar voren dat de bereikbaarheid en bekendheid van de regelingen veel aandacht krijgen. Het college werkt er ook aan om belemmeringen weg te nemen die ontstaan door complexiteit van regelingen en administratieve (over)belasting. Minder concrete acties van het college zijn gericht op de houding van uitvoerders en de continuΓ―teit van de dienstverlening.
Figuur 4 Zes aspecten van toegankelijkheid volgens de Nederlandse Arbeidsinspectie[100]
We zien dat het college in de afgelopen vijf jaar veel activiteiten onderneemt om de toegankelijkheid van armoederegelingen te verbeteren. Uit een inventarisatie van de rekenkamer van verbeteracties rondom de armoederegelingen komen circa 100 acties naar voren. Het college voert voor elk van de zes hiervoor genoemde aspecten van toegankelijkheid verschillende verbeteracties uit. Sommige van deze acties zijn al afgelopen en andere lopen nog. Het overzicht van activiteiten van het college per aspect staat in Bijlage 2.
Meeste acties college gericht op bereikbaarheid, bekendheid, en eenvoud van regelingen
Het college zet actief in op verbetering van de bereikbaarheid. Bewoners moeten weten bij welke toegangspunten zij terechtkunnen met hun hulpvraag, zodat zij gebruik kunnen maken van regelingen waar zij recht op hebben. Daarom moeten gemeenten ook zorgen voor laagdrempelige en vindbare fysieke, digitale en telefonische toegangspunten.[101] Het college heeft gewerkt aan het verbeteren van de bereikbaarheid van toegangspunten door een focus op begrijpelijke taal, meertalige en visuele communicatie. Daarnaast heeft het college gewerkt aan de verbetering van fysieke toegangspunten, met een centrale rol voor de Helpdesk Geldzaken. Digitale en telefonische toegang kregen minder aandacht in de verbeteracties.
Het college werkt ook actief aan de bekendheid van de regelingen. Bewoners moeten namelijk weten welke hulp er is. Volgens de Arbeidsinspectie zouden gemeenten hun inwoners daarom actief moeten informeren.[102] Om de bekendheid van de armoederegelingen te vergroten heeft de gemeente Den Haag de afgelopen vijf jaar campagnes via algemene kanalen gebruikt. Een voorbeeld hiervan is de stadsbrede campagne βNiemand verdient geldzorgenβ. Daarnaast waren er kleinschaligere initiatieven, zoals meertalige animatiefilmpjes bij gezondheidscentra. Een andere manier om de bekendheid van regelingen te vergroten is via bestaande contactmomenten met de gemeente. Ook op dit vlak zijn stappen gezet. Het gaat bijvoorbeeld om bestandsvergelijking[103] om inwoners te attenderen op mogelijke ondersteuning.[104] Deze acties speelden een wat kleinere rol in de totale inzet.
Verschillende acties van het college richten zich erop de complexiteit van regelingen te beperken. Volgens de Arbeidsinspectie moeten gemeenten deze belemmeringen in de organisatorische en administratieve sfeer beperken.[105] Het beperken van belemmeringen in regels en beleid voorkomt dat inwoners buiten de regeling vallen of afzien van een aanvraag omdat zij deze te ingewikkeld vinden. Het college werkt aan het verminderen van de complexiteit van de regelingen door aanvraagprocedures eenvoudiger te maken. Ook koppelt het college het recht op uiteenlopende voorzieningen aan elkaar. Zo werkt het college toe naar één digitaal aanvraagformulier. Ook wil het college vaker ondersteuning toekennen zonder een aanvraag (ambtshalve verstrekken). Andere acties zijn bedoeld om een wirwar aan regelingen te voorkomen. Hiertoe is het minimabeleid geharmoniseerd; Haagse inwoners kunnen gebruikmaken van de website berekenuwrecht.nl om te ontdekken op welke regelingen zij recht hebben. Ook is er een digitale checklist gemaakt.
Daarnaast zet het college in op het voorkomen van administratieve (over)belasting voor de aanvrager. De Arbeidsinspectie geeft aan dat het belangrijk is te voorkomen dat inwoners hierdoor afzien van een aanvraag.[106] Hiertoe heeft het college beleidsregels en -voorwaarden aangepast om belemmeringen weg te nemen. Het college heeft ook voor verschillende regelingen de inkomens- en vermogenscriteria geharmoniseerd. Tot slot lobbyt het college op rijksniveau voor aanpassing van landelijke wet- en regelgeving, bijvoorbeeld voor aanpassingen in het toeslagenstelsel en de Participatiewet om complexiteit te verminderen.
Minder acties gericht op houding uitvoerders en continuΓ―teit dienstverlening
Het college voert verhoudingsgewijs minder acties uit om de houding van uitvoerders te verbeteren dan voor de bovenstaande aspecten. De Arbeidsinspectie benadrukt in haar rapport dat onprofessionele bejegening door uitvoerders negatieve gevolgen kan hebben voor inwoners.[107] In Den Haag is sprake van enkele concrete verbeteracties op het gebied van respectvolle bejegening door uitvoerders. Die acties hebben bijvoorbeeld te maken met een gastvrije ontvangst en taalgebruik. We zien ook enkele acties die onderdeel uitmaken van het reguliere werkproces, zoals sturing op doelen en trainingen voor medewerkers.
Tot slot zien we een beperkt aantal acties van het college gericht op de continuΓ―teit van de dienstverlening. Het is belangrijk onderbrekingen in het aanvraagproces te voorkomen, zodat ondersteuning tijdig beschikbaar is.[108] Het college zet enkele acties in om voorzieningen tijdig te verstrekken. Daaronder vallen werken met een maatwerkbudget (flexibel in te zetten budget) en zorgen voor voldoende uitvoeringscapaciteit. Er zijn echter geen acties om te voorkomen dat contactpersonen wisselen en om vertraging te voorkomen. Deze zaken noemt de Arbeidsinspectie ook als belangrijk voor een goede toegankelijkheid.
Gemeente Den Haag wil meer inwoners bereiken met de armoederegelingen
De raad heeft de ambitie om het verzamelbereik van de armoederegelingen β dat wil zeggen het percentage van de doelgroep dat ten minste één regeling gebruikt β te vergroten van 80% naar 85% voor het einde van de coalitieperiode.[109] Het college heeft het Programma Vergroten Bereik opgesteld om het verzamelbereik van de armoederegelingen en financiΓ«le hulpverlening te vergroten.[110]
Onzeker of college verzamelbereik van 85% gaat halen
We kunnen niet voorspellen in hoeverre het college de doelstelling om het verzamelbereik voor het einde van de coalitieperiode naar 85% te verhogen gaat behalen. De uitkomsten van het Programma Vergroten Bereik op het bereik zijn nog niet bekend, omdat dit programma nog loopt. Het college heeft recent een jaaroverzicht gepubliceerd over het programma.[111] Het college geeft hierin aan dat enkel het CBS over de cijfers beschikt om de ontwikkeling op het verzamelbereik vast te stellen.[112] Het CBS heeft echter nog geen recente bereikcijfers beschikbaar; de laatste publicatie uit 2024 bevat cijfers tot 2022.[113] CBS cijfers over het verzamelbereik kijken altijd twee jaar terug, omdat inkomenscijfers pas na twee jaar definitief kunnen worden vastgesteld.[114]
Het is aannemelijk dat het bereikpercentage vanaf 2024 zal veranderen, aangezien de doelgroep voor de armoederegelingen in 2024 is verruimd. De inkomensgrens voor de Ooievaarspas en gekoppelde Ooievaarsregelingen is per 1 april 2024 verhoogd naar 150% van het sociaal minimum.[115] Het verruimen van de doelgroep van regelingen kan leiden tot een relatieve daling van het bereik.[116] Zelfs wanneer meer mensen gebruik gaan maken van de regeling kan het bereikpercentage dalen, doordat de doelgroep die recht heeft op de regeling groter is geworden en het aandeel gebruikers dus relatief kleiner wordt. Daarnaast is het mogelijk dat het bereik enige tijd achterblijft, doordat de nieuwe doelgroep nog niet bekend is met de regeling. De cijfers over het verzamelbereik in 2024 zijn in 2026 beschikbaar.[117]
Bereik armoederegelingen tot en met 2022 licht gedaald
Het verzamelbereik van de Haagse armoederegelingen is in de afgelopen jaren licht gedaald. Voor veel regelingen liep het bereik ook licht terug. Het verzamelbereik daalde tussen 2017 en 2021 van 81% naar 79%.[118] Voor 2023 en daarna zijn nog geen cijfers over het verzamelbereik beschikbaar. De ontwikkeling van het bereik per regeling over de tijd heeft het CBS inzichtelijk gemaakt in de Armoedescan (zie Figuur 5).[119]

Figuur 5 Bereik Haagse armoederegelingen onder doelgroep regeling, Bron CBS[120]
Enkele doelgroepen worden minder bereikt. Het college geeft aan dat het bereik lager is onder jongeren tot 24 jaar, mensen met een inkomen uit een andere uitkering dan bijstand, en mensen met een inkomen uit werk.[121] Werkenden en met name ondernemers worden ook elders in Nederland moeilijk bereikt.[122] Gemeenten hebben ondernemers vaker niet goed in beeld of omschrijven hen als een lastig te bereiken doelgroep.[123] Verborgen armoede komt dan ook het vaakst voor onder werkenden; zo’n 84-90% van de werkende armen is onbekend bij gemeenten.[124] Binnen deze groep zijn vooral zzp’ers en zmp’ers (zelfstandigen met personeel) niet in beeld (respectievelijk 87% en 98%).[125]
Het ligt voor de hand om de bereikcijfers van Den Haag te vergelijken met die van Amsterdam en Rotterdam. Dat is echter niet goed mogelijk, omdat de doelgroep en de opzet van monitoring per gemeente verschillen.[126] Inkomensgrenzen bepalen de omvang van de doelgroep en daarmee de bereikcijfers. Amsterdam monitort het verzamelbereik, maar Rotterdam niet.[127] Zowel Amsterdam als Rotterdam monitort het bereik per regeling, maar de inkomensgrenzen voor de regelingen verschillen per gemeente.[128]
4. Monitoring van doelen armoedebeleid
In dit hoofdstuk bespreken we de monitoring van het armoedebeleid en de koppeling met beleidsdoelen. We constateren dat het college veel gegevens verzamelt en de raad ook regelmatig rapportages stuurt over het bereik en de effecten van het beleid en de regelingen. Maar we constateren ook dat niet is vast te stellen of de gemeente dankzij het armoedebeleid haar doelen realiseert. Belangrijke oorzaken zijn de weinig concrete doelen en het ontbreken van een koppeling tussen gepresenteerde resultaten en de doelen voor het armoedebeleid. Daarnaast zijn de doelen zo geformuleerd dat het bereiken van de doelen ook afhangt van omgevingsfactoren. Dit geldt zowel voor doelen die aangeven wat de gemeente wil bereiken met het armoedebeleid, als voor doelen die gaan over het zorgen voor toegankelijke regelingen en dienstverlening.
Monitoring niet gekoppeld aan concrete doelen
Het college monitort verschillende aspecten van het armoedebeleid en stuurt verschillende rapportages naar de gemeenteraad. De belangrijkste rapportages zijn de minima-effectrapportage en de Armoedemonitor. In de meeste rapportages ontbreekt alleen een directe koppeling tussen de gepresenteerde resultaten of effecten en de doelen van het armoedebeleid. Alleen bij de doelstelling βvergroten verzamelbereikβ geeft het college in rapportages aan in hoeverre het doel dichterbij komt.
Het college rapporteert in de minima-effectrapportages[129] regelmatig aan de gemeenteraad over het effect van landelijke en lokale inkomensondersteunende regelingen op de financiΓ«le positie van huishoudens met een laag inkomen in de gemeente Den Haag. Deze monitoring is niet gekoppeld aan een concreet doel van het armoedebeleid. In deze rapportage heeft het Nibud voor tien verschillende huishoudtypes doorgerekend hoe hun maandbegrotingen eruitzien. Op basis van deze doorrekening bepaalt het Nibud of alle onderzochte huishoudtypes voldoende inkomsten hebben om alle noodzakelijke uitgaven te betalen zonder dat er tekorten ontstaan. In 2024 bleek bijvoorbeeld dat wanneer paren met twee oudere kinderen op het bijstandsniveau geen gebruik zouden maken van gemeentelijke voorzieningen, zij een tekort zouden hebben.[130]
Ook geeft het college inzicht in de minimapopulatie en het bereik van de armoederegelingen. Sinds 2017 monitort het CBS voor de gemeente Den Haag de ontwikkeling van de Haagse minimapopulatie en het bereik van de gemeentelijke minimaregelingen in de Armoedemonitor.[131] Het eerste deel laat de ontwikkeling van de Haagse minimahuishoudens zien (de omvang, samenstelling en kenmerken), zonder koppeling aan specifieke beleidsdoelen. Het tweede deel richt zich op het bereik van de armoederegelingen. Dit is deels gekoppeld aan het doel om het verzamelbereik te verhogen van 80% naar 85%, maar gaat qua monitoring verder dan die doelstelling. Zo gaat de rapportage in op het bereik per afzonderlijke regeling en het bereik onder diverse doelgroepen (zoals ouderen, eenoudergezinnen en ondernemers).
Verder heeft het college een aantal onderzoeken gedaan naar de armoederegelingen. In 2023 ontving de raad een onderzoek over niet-gebruikers van de armoederegelingen.[132] Het college kondigde in 2022 ook een effectmeting naar de armoederegelingen door het CBS aan.[133] Dit onderzoek is niet met de raad gedeeld. In dit laatste onderzoek zijn gebruikers van gemeentelijke armoederegelingen met een controlegroep vergeleken.[134] Dit onderzoek heeft geen verband kunnen vaststellen tussen het wel of niet gebruik maken van de armoederegelingen en de mate waarin bepaalde problematiek, zoals bijvoorbeeld schuldenproblematiek, is opgetreden.
Daarnaast monitort het college de armoederegelingen met bijvoorbeeld klanttevredenheidsonderzoeken, gebruikscijfers van de Helpdesk Geldzaken en kwalitatieve rapportages uit sessies met partners.[135] Ook hiervoor geldt dat deze monitoring informatie geeft over de armoederegelingen, maar meestal niet gekoppeld wordt aan de doelen van de gemeente.
Doelen niet concreet genoeg voor bepalen doeltreffendheid
De meeste doelen die gaan over wat de gemeente met het armoedebeleid wil bereiken zijn niet concreet geformuleerd. Behalve het doel om het verzamelbereik van de armoederegelingen te laten stijgen van 80% naar 85%, hebben wij geen concrete doelen voor het armoedebeleid gevonden. Doelen zijn bijvoorbeeld βHagenaars in armoede perspectief gevenβ,[136] βinwoners in staat stellen om de regie terug te pakkenβ,[137] zorgen dat inwoners βgelijkwaardig meedoen aan de samenlevingβ,[138] en βparticipatie en ontplooiing faciliterenβ.[139] Wat het gemeentebestuur daar concreet mee bedoelt maakt het niet duidelijk, en daardoor is niet duidelijk wat zij precies wil bereiken. De realisatie van deze doelen hangt ook af van invloeden buiten het gemeentelijke beleid. Hierdoor is niet goed vast te stellen welke invloed de gemeente heeft gehad op de mate waarin deze doelen al dan niet worden gerealiseerd.
Daar waar doelen over de toegankelijkheid van de armoederegelingen gaan zijn deze ook niet concreet. Daardoor is niet duidelijk bij welk resultaat deze doelen bereikt zijn. Het college wil bijvoorbeeld zorgen voor βtoegankelijke armoederegelingenβ,[140] maar maakt niet concreet wanneer het zelf vindt dat de regelingen voldoende toegankelijk zijn. Een deel van de doelen is daarnaast geformuleerd vanuit het perspectief van gebruikers, terwijl het gemeentebestuur niet heeft vastgesteld wanneer gebruikers voldoende tevreden zijn. Daarbij is ook niet met zekerheid te zeggen wanneer de ervaring van gebruikers iets zegt over de inzet van de gemeente.
5. Verklaring hogere armoedecijfers Den Haag
De armoedecijfers in Den Haag liggen, net als Rotterdam en Amsterdam, hoger dan het landelijk gemiddelde.[141] Deze steden hebben ook een relatief groot aandeel inwoners met een groter risico op armoede dan de overige inwoners. Risicofactoren hierbij zijn de bron van inkomsten, de gezinssituatie en andere persoonlijke kenmerken. Bij een deel van deze mensen stapelen verschillende risicovolle omstandigheden zich op. Daarmee stijgt het risico op armoede. Het armoedecijfer in een stad geeft aan hoeveel mensen een laag inkomen hebben.
In de paragrafen hierna gaan we eerst in op verschillende manieren om het armoedecijfer te berekenen. Daarna gaan we in op de belangrijkste factoren die maken dat het armoedecijfer in de steden Den Haag, Amsterdam en Rotterdam hoger is dan in heel Nederland. We vergelijken Den Haag met Rotterdam en Amsterdam, omdat zij vergelijkbaar zijn in bevolkingssamenstelling en armoedecijfers.
Verschillende manieren om armoedecijfers te berekenen
Over armoede bestaan verschillende cijfers. Tot voor kort hanteerden onderzoeksinstituten verschillende definities en meetmethoden voor armoede. Doorgaans waren de definities gebaseerd op inkomensgrenzen, die per instantie verschilden. Soms werd ook het vermogen van huishoudens meegenomen, met eveneens variΓ«rende drempelbedragen. Eind 2024 hebben het CBS, SCP en Nibud samen één definitie van armoede vastgesteld.[142] Hierbij kijken zij niet alleen naar het inkomen en het vermogen, maar ook naar vaste lasten van huishoudens op het gebied van wonen, energie en zorg. Dit wordt ook wel de βnieuwe armoedegrensβ genoemd. De gemeente Den Haag gebruikt armoedecijfers[143] op basis van het sociaal minimum.[144] Voor een overzicht van de verschillende armoededefinities, zie bijlage 3.
De omvang van armoede verschilt per definitie. Toch zien we bij elke definitie dat Den Haag meer inwoners heeft die in armoede leven dan er landelijk gemiddeld zijn. Hierin is Den Haag vergelijkbaar met Rotterdam en Amsterdam. In de onderstaande figuur zijn voor drie verschillende definities de armoedepercentages weergegeven. Daarbij is telkens zichtbaar wat het armoedepercentage bij die definitie is in Nederland, in Amsterdam, Rotterdam en Den Haag (zie figuur 6).
In dit onderzoek gebruiken we armoedecijfers op basis van de meetmethode van de lage-inkomensgrens van het CBS[147] (links in figuur 6). De motie waarin de raad de rekenkamer oproept tot onderzoek naar de hoge armoedecijfers is ook gebaseerd op deze lage-inkomensgrens.[148] Er is nog geen data beschikbaar om Den Haag op het niveau van verschillende typen huishoudens te kunnen vergelijken met andere gemeenten op basis van de nieuwe armoedegrens (rechts in figuur 6).
De ‘minimapopulatie’ waarover het college rapporteert in de Armoedemonitor is een bredere groep mensen. Dat komt doordat de gemeente Den Haag de groep mensen met een inkomen tot 130% van het sociaal minimum aanhoudt om de minimapopulatie te beschrijven[149] (midden in figuur 6).[150] De inkomensgrens voor de meeste armoederegelingen in Den Haag lag tot voor kort op een inkomen tot 130% van het sociaal minimum.[151]
Verschillende definities van armoede leiden dus tot variatie in het beeld van de omvang van armoede. De belangrijkste groepen met een hoog risico op armoede β zoals mensen met bijstand, eenoudergezinnen, laagopgeleiden en mensen met een migratieachtergrond β komen in de verschillende definities echter vergelijkbaar naar voren.[152] Een uitzondering is de groep gepensioneerden. In 2022 lag het inkomen van mensen die uitsluitend AOW ontvangen, net als in voorgaande jaren, boven de lage-inkomensgrens. Het CBS ziet hen daarom niet als risicogroep.[153] Met de inkomensgrenzen die de gemeente Den Haag hanteert voor de minimapopulatie, behoren de mensen die alleen van AOW leven wel tot de doelgroep voor de minimaregelingen. Zelfs als zij naast hun AOW een klein aanvullend pensioen hebben.
Hoge armoedecijfers drie grote steden door bevolkingssamenstelling
Amsterdam, Rotterdam en Den Haag hebben relatief meer inwoners dan gemiddeld in Nederland bij wie sprake is van een of meer risicofactoren voor armoede. Dat komt doordat de bevolkingsopbouw in deze steden anders is dan in de rest van Nederland.[154] Utrecht is in deze vergelijking niet meegenomen, omdat daar de bevolkingssamenstelling, en daarmee de aanwezigheid van groepen met een hoger risico op armoede, afwijkt van de rest van de G4.[155]
In de volgende paragrafen gaan we verder in op de verschillende risicofactoren voor armoede die meer voorkomen in Den Haag, Amsterdam en Rotterdam dan gemiddeld in Nederland. De twee belangrijkste factoren voor de kans op armoede zijn de bron van inkomsten en de gezinssituatie. Daarnaast spelen opleidingsniveau, gezondheid en herkomst een rol.
In de praktijk komen risicofactoren ook samen voor. In Den Haag heeft bijvoorbeeld driekwart van de bijstandsontvangers geen startkwalificatie, ofwel een diploma dat een goede kans biedt op werk.[156] Ook heeft de helft van de bijstandsontvangers gezondheidsproblemen.[157] Door de stapeling van risicofactoren neemt de kans op armoede toe.
Groot aandeel mensen met kwetsbare bron van inkomen in Den Haag
Mensen met uitkeringen uit sociale voorzieningen en mensen met weinig of flexibel, laagbetaald werk zijn kwetsbaar voor armoede. In Den Haag is het aandeel mensen met een bijstandsuitkering aanzienlijk hoger dan het Nederlands gemiddelde, net als in Amsterdam en Rotterdam. Van alle vormen van inkomen hebben mensen met een bijstandsuitkering in Nederland het vaakst een laag inkomen. Daarnaast zien we een laag inkomen vaak bij mensen met laagbetaald werk op flexibele basis of met een kleine werkweek. Hieronder beschrijven we bovengenoemde risicoβs en gaan we in op de aanwezigheid van deze risicogroepen in grote steden zoals Den Haag.
Hoger risico op armoede bij bijstand en andere sociale uitkeringen
Bijstandsontvangers[158] hebben volgens het CBS het grootste armoederisico van alle sociaal-economische groepen.[159] Dat komt doordat de hoogte van de bijstandsuitkering gekoppeld is aan het sociaal minimum. Bijstandsontvangers die recht hebben op aanvullende toeslagen zoals kinderbijslag en kindgebonden budget komen soms wel boven de lage-inkomensgrens uit.[160] In Den Haag is volgens het CBS de kans op een laag inkomen binnen de groep mensen met een bijstandsuitkering hoger dan gemiddeld in Nederland. Landelijk had in 2022 namelijk 40% van de bijstandsontvangers een laag inkomen, en in Den Haag 45%.[161]
In Den Haag ligt, net als in Amsterdam en Rotterdam, het aandeel mensen met een bijstandsuitkering[162] ruim boven het landelijke gemiddelde (zie figuur 7).[163]

Figuur 7 Percentage inwoners met bijstandsuitkering, Bron CBS[164]
Ook ontvangers van een werkloosheids- of arbeidsongeschiktheidsuitkering lopen een verhoogd risico op armoede. Deze groepen zijn ten opzichte van het landelijk gemiddelde weliswaar niet groter in Den Haag, maar ze hebben in Den Haag wel een groter risico op armoede.[165] Een mogelijke verklaring hiervoor is, dat zij vaker lagere inkomens uit werk hadden, waardoor ook hun uitkeringen lager uitvallen. In 2022 had in Den Haag 20,0% van de mensen met een werkloosheidsuitkering een laag inkomen tegen 12,4% gemiddeld in Nederland. En in datzelfde jaar had in Den Haag 13,1% van de mensen met een arbeidsongeschiktheidsuitkering een laag inkomen tegen 9,3% landelijk gemiddeld.[166]
Hoger risico op armoede bij weinig of flexibel laagbetaald werk
Over het algemeen heeft de werkende bevolking in Nederland een laag risico op armoede (1,7% van de werkende bevolking had een laag inkomen in 2022).[167] Toch zijn er binnen deze grote groep een aantal kwetsbare subgroepen die wel een laag inkomen hebben. Dit zijn vooral zelfstandigen, deeltijders en oproepkrachten.[168] Dit heeft te maken met een laag uurloon, een kleine werkweek, of een combinatie hiervan.[169]
Zelfstandigen, en met name zzpβers, lopen risico op een laag inkomen door een mogelijk te laag uurloon en door sterk wisselende inkomsten. Zzpβers lopen risico doordat het werkelijke uurloon onder het minimumloon kan uitkomen.[170] Landelijk komt een inkomenstekort van 15% of meer het vaakst voor bij zzpβers.[171] Voor een deel van hen is dit geen probleem: het lage inkomen is meestal tijdelijk [172] en veel zelfstandigen hebben voldoende vermogen om een tijdelijk laag inkomen op te vangen.[173] Toch had in 2022 5,9% van de zzpβers in Nederland een laag inkomen en dus risico op armoede.[174] In Den Haag werken meer mensen als zzpβer dan gemiddeld in Nederland. In 2022 was bijna 18% van de werkenden in Den Haag een zzpβer tegen 12% gemiddeld in Nederland.[175]
Mensen die in deeltijd werken en mensen met tijdelijke, onzekere (flex-)contracten hebben ook een hoger risico op een laag inkomen dan anderen.[176] Mensen die in deeltijd werken hebben onder meer een hoger risico op armoede, omdat het minimumloon uitgaat van een volledige werkweek. Van de werkende armen in Nederland werkt ruim acht op de tien in deeltijd.[177] Voor mensen die werken op basis van tijdelijke contracten bestaan aanvullende risicoβs. Zij zijn vaker tussentijds werkloos, vaker niet verzekerd tegen inkomensverlies door ziekte of arbeidsongeschiktheid, bouwen minder pensioen op en krijgen minder vaak scholing gericht op betere toekomstige inzetbaarheid.[178] We kunnen voor dit onderzoek niet vaststellen hoe het aandeel mensen met een tijdelijk contract of deeltijdwerk in Den Haag, Rotterdam en Amsterdam zich verhoudt tot het Nederlands gemiddelde; specifieke cijfers per stad zijn niet openbaar beschikbaar.
Groot aandeel eenoudergezinnen en alleenstaanden in Den Haag
Eenoudergezinnen en alleenstaanden hebben een hoger risico op armoede dan andere huishoudens. Voor beide groepen speelt de afwezigheid van een verdienende partner een rol.[179] Deze groepen zijn in Den Haag, Amsterdam en Rotterdam groter dan gemiddeld in Nederland.
Eenoudergezinnen krijgen ondersteuning van het Rijk
Eenoudergezinnen hadden in het verleden van alle huishoudens het grootste risico op armoede. Sinds 2015 is dit risico met een derde afgenomen, doordat deze doelgroep meer ondersteuning krijgt vanuit het Rijk met uitgebreide kindregelingen.[180] Desondanks heeft nog 9,2% van de eenoudergezinnen met kinderen onder de 18 jaar een laag inkomen.[181] Oorzaken die daarvoor in onderzoek worden aangewezen zijn onder meer dat ouders van jonge kinderen vaak minder kunnen werken.[182] Gezinnen met jonge kinderen hebben ook hogere uitgaven omdat er meer gezinsleden zijn.[183] Het aantal eenoudergezinnen in Den Haag ligt lager dan Rotterdam en Amsterdam, maar is hoger dan het Nederlands gemiddelde (zie figuur 8).

Figuur 8 Percentage eenoudergezinnen, Bron CBS[184]
In grote steden wonen meer alleenstaanden
Alleenstaanden hebben ook een groter risico op armoede dan het gemiddelde huishouden. 9,7% van de alleenstaanden tot de AOW-leeftijd heeft een laag inkomen. Vanaf de AOW-leeftijd neemt dit af naar 2,1%.[185] Het percentage alleenstaanden in Amsterdam, Rotterdam en Den Haag ligt hoger dan het landelijk gemiddelde. Voor Den Haag is dat 10% hoger dan het Nederlands gemiddelde (zie figuur 9).

Figuur 9 Percentage eenpersoonshuishoudens, Bron CBS[186]
Opleidingsniveau, gezondheid en herkomst spelen rol bij armoederisico
In Den Haag wonen meer mensen met een laag opleidingsniveau, mensen met een niet-westerse en Oost-Europese migratieachtergrond en mensen met gezondheidsproblemen dan gemiddeld in Nederland. Uit verschillende onderzoeken komt naar voren dat opleiding, herkomst en gezondheid factoren zijn die een rol kunnen spelen bij hogere armoedecijfers.
Armoede en lager opleidingsniveau kunnen elkaar versterken
Armoede kan effect hebben op het opleidingsniveau. Zo kan armoede een negatief effect hebben op schoolprestaties en vergroot opgroeien in armoede de kans op vroegtijdig schoolverlaten.[187] Andersom lopen mensen met een lager opleidingsniveau een hoger risico op armoede dan middelbaar en hoger opgeleiden. Een laag opleidingsniveau biedt beperktere mogelijkheden op de arbeidsmarkt.[188] Jongeren zonder startkwalificatie hebben tien jaar na uitstroom minder vaak betaald werk, en werken vaker op tijdelijke basis dan jongeren die een mbo-diploma hebben gehaald.[189] Lager opgeleiden hebben vaker een laag inkomen dan middelbaar en hoger opgeleiden.[190] In 2022 had 7,5% van de laagopgeleiden in Nederland een laag inkomen (tegen 3,8% en 2,2% van de middelbaar en hoger opgeleiden).[191] Lager opgeleiden werken vaker in sectoren waarin lage lonen worden betaald en waar minder werkzekerheid is door flexibele contracten.[192] Mensen met een lager opleidingsniveau doen vaker fysiek belastend werk en hebben vaker gezondheidsproblemen.[193] In Den Haag en Rotterdam wonen iets meer lager opgeleiden dan gemiddeld in Nederland, in Amsterdam zijn dit er minder. Landelijk is 26,4% lager opgeleid, tegen 30,0% in Den Haag, 30,2% in Rotterdam en 21,9% in Amsterdam.[194]
Veel verschillende risicofactoren bij mensen met migratieachtergrond
Binnen de groep mensen met een migratieachtergrond[195] hebben mensen met een niet-westerse migratieachtergrond en Oost-Europese arbeidsmigranten het grootste risico op armoede.[196]
In 2022 behoorde 13% van de huishoudens met een hoofdkostwinner met een niet-westerse migratieachtergrond tot de lage-inkomensgroep; drie keer zoveel als het gemiddelde van alle huishoudens (4,4%).[197] Dit heeft te maken met een samenkomst van risicofactoren binnen deze groep. Niet-westerse migranten van de eerste generatie hebben vaker een laag inkomen uit arbeidsongeschiktheids- of bijstandsuitkeringen.[198] Ook ongelijke toegang tot werk door een laag opleidingsniveau, lage taalvaardigheid en discriminatie vergroot de kans op armoede voor deze groep.[199] Ouderen met een niet-westerse migratieachtergrond hebben vaker geen volledige AOW opgebouwd en geen of weinig aanvullend pensioen.[200]
Het percentage inwoners met een niet-westerse migratieachtergrond is in Den Haag, net als in Rotterdam en Amsterdam, hoger dan het landelijk gemiddelde (zie figuur 10).

Figuur 10 Percentage inwoners met een niet-westerse migratieachtergrond, Bron CBS[201]
Binnen de groep westerse arbeidsmigranten lopen vooral huishoudens met een kostwinner geboren in Bulgarije of RoemeniΓ« een verhoogd risico op armoede, omdat zij veelal laaggeschoold en laagbetaald werk[202] doen.[203] Daarbij hebben ze vaker een onzeker (tijdelijk) contract.[204] In 2017 rapporteerde het CBS dat de laagste uurlonen in Nederland vooral werden betaald aan arbeidsmigranten uit Midden- en Oost-Europa.[205]
In 2024 was naar schatting 10%[206] van de inwoners van Den Haag een arbeidsmigrant,[207] wat aanzienlijk hoger is dan het landelijk percentage. Dit is een schatting[208], omdat veel arbeidsmigranten niet geregistreerd zijn en dus niet in statistieken naar voren komen.[209] Schattingen van het totale aantal arbeidsmigranten in Nederland variΓ«ren van 220.000 tot 735.000 en dus tussen de 1 en 4% van alle inwoners van Nederland.[210] Aanleidingen voor het hogere aantal arbeidsmigranten in Den Haag liggen in de arbeidsmarkt in de Haagse omgeving. Arbeidsmigranten doen vaak seizoensgebonden werk in de landbouw, en doen ook structureel werk in de industrie, logistiek en voedselverwerking.[211] Veel arbeidsmigranten die werkzaam zijn in de (glas)tuinbouw in het Westland wonen in Den Haag.[212] Behalve in de landbouw zijn arbeidsmigranten in de buurt van Den Haag onder andere werkzaam in de haven van Rotterdam, en bij levensmiddelen- en transportbedrijven.[213]
FinanciΓ«le problemen en slechte gezondheid kunnen elkaar versterken
Mensen met een laag inkomen hebben vaker een slechte gezondheid dan mensen met een hoger inkomen.[214] Gezondheidsproblemen kunnen leiden tot lagere inkomsten doordat mensen minder kunnen werken en vaker afhankelijk zijn van een uitkering.[215] Gezondheidsproblemen hebben ook een negatieve invloed op opleiding, werk en maatschappelijke participatie.[216] Binnen de groep bijstandsontvangers in Den Haag is volgens het college gezondheid bijvoorbeeld de grootste belemmerende factor in de uitstroom naar werk.[217] Gezondheidsproblemen kunnen ook tot hogere uitgaven leiden door zorgkosten en bijkomende uitgaven aan vervoer en energie.[218] Andersom kunnen financiΓ«le problemen stress veroorzaken of ertoe leiden dat mensen zorg mijden waardoor gezondheidsproblemen kunnen toenemen.[219]
6. Invloed gemeente op armoedecijfers
In dit hoofdstuk kijken we hoe de gemeente armoedecijfers kan beΓ―nvloeden. We laten zien dat rijksbeleid en macro-economische ontwikkelingen de grootste invloed hebben op de hoogte van het inkomen en daarmee op het armoedecijfer. Gemeentelijke armoederegelingen hebben geen invloed op de armoedecijfers, maar ander gemeentelijk beleid heeft dat wel enigszins.
Armoedecijfers vooral beΓ―nvloed door rijksbeleid en macro-economische ontwikkelingen
Over het algemeen volgen de armoedecijfers de economische conjunctuur: tijdens een economische crisis stijgt het aandeel huishoudens met een inkomen onder de lage-inkomensgrens, terwijl dit in tijden van economische voorspoed afneemt.[220] Ook recente crises zoals de coronacrisis (2020-2022) en de energiecrisis (2021-2023) hebben de inkomenspositie van bepaalde groepen tijdelijk of voor langere tijd beΓ―nvloed.[221] Volgens het CBS daalde de armoede in Nederland sinds 2019 door onder meer lagere werkloosheid en stijgende lonen, en door de verhoging van het minimumloon en de coronasteun- en energiemaatregelen.[222]
Armoedecijfers hangen ook samen met de hoogte van het minimumloon, toeslagen en uitkeringen, en fiscale regelingen. Het huishoudinkomen hangt mede af van de hoogte van deze bedragen. Het stelsel van inkomensvoorzieningen en toeslagen is rijksbeleid. Ook bepaalt de rijksoverheid het minimumloon.[223]
Herverdelingsbeleid is dus voorbehouden aan het Rijk, de gemeente kan in haar beleid enkel kleine inkomensoverdrachten opnemen.[224] Dit is zo vastgelegd om te voorkomen dat gemeenten het algemene inkomensbeleid van het Rijk doorkruisen.[225] De mogelijkheid voor gemeenten om structureel het inkomen van hun inwoners te verhogen is daarom beperkt.
Om de armoedecijfers te verlagen moet het inkomen structureel toenemen of moeten (volgens de nieuwe armoededefinitie) de vaste lasten afnemen.[226] FinanciΓ«le bijdragen en voorzieningen uit gemeentelijke regelingen worden niet als inkomen meegeteld in de berekening van armoedecijfers.[227] De gemeentelijke ondersteuning kan mensen helpen om uitgaven te besparen. Het gros van gemeentelijke regelingen verandert echter niets aan de uitgaven aan wonen, energie en zorg die in de nieuwe armoededefinitie worden meegenomen.[228]
Invloed gemeente op armoedecijfers door flankerend beleid
Hierboven hebben we gezien dat gemeenten met armoederegelingen geen directe invloed kunnen uitoefenen op armoedecijfers. Via andere beleidsgebieden kunnen zij dat wel enigszins. De belangrijkste daarvan zijn door het uitvoeren van het sociale zekerheidsstelsel, beleid gericht op vaste lasten, het stimuleren van arbeidskansen, en onderwijs en zorg.
Gemeenten hebben geen invloed op de waarde van uitkeringen en toeslagen, maar spelen een belangrijke rol in het zorgen dat mensen dit inkomen daadwerkelijk ontvangen. Gemeenten zijn medeverantwoordelijk voor de uitvoering van sociale zekerheid door bijstandsuitkeringen te verstrekken.[229] Ook kan de gemeente mensen wijzen op toeslagen waar men recht op heeft. Uitkeringen en toeslagen hebben een directe invloed op het besteedbaar inkomen.[230]
Ook kunnen gemeenten mensen helpen een hoger inkomen te krijgen door hen naar werk te begeleiden. Ze kunnen bijvoorbeeld de re-integratie van uitkeringsontvangers en de arbeidsdeelname van specifieke groepen stimuleren.[231] In bredere zin kan de gemeente werkzoekenden helpen zogenoemde persoonlijke hulpbronnen te versterken.[232] Zo kunnen gemeenten werkzoekenden helpen vaardigheden te ontwikkelen die hun kansen op de arbeidsmarkt vergroten.[233] Ook kunnen gemeenten gericht passende werkgelegenheid helpen creΓ«ren en discriminatie helpen tegengaan voor mensen met een afstand tot de arbeidsmarkt. [234] Daarbij moeten we aantekenen dat gemeenten ook op deze manier lang niet altijd invloed hebben op wat iemand kan verdienen. In Den Haag hoorde 80% van de mensen die uit de bijstand naar werk waren begeleid na anderhalf jaar nog steeds tot de minimapopulatie die recht hadden op armoederegelingen.[235]
De gemeente kan ook beleid inzetten om prijzen voor vaste lasten te beperken.[236] Beleid dat mensen helpt te besparen op woon-, energie- en zorglasten heeft invloed op armoede wanneer dit volgens de nieuwe armoededefinitie[237] wordt gemeten. Dit kan bijvoorbeeld beleid zijn dat zich richt op betaalbare huurwoningen.[238] Gemeenten kunnen ook lokale belastingen geheel of gedeeltelijk kwijtschelden.[239]
Invloed op kansengelijkheid met onderwijs-, gezondheid- en welzijnsbeleid
Verschillende onderzoeken wijzen erop dat andere gemeentelijke beleidsdomeinen ook een positieve invloed kunnen hebben op armoede. Gemeenten kunnen bijdragen aan kansengelijkheid en risicopreventie met beleid op het gebied van onderwijs, zorg en sociale cohesie.
Gemeenten kunnen investeren in onderwijs om kansengelijkheid te bevorderen.[240] Dit kan bijvoorbeeld door voorschoolse educatie en inzet op taal-, lees- en rekenvaardigheid. Ook kunnen gemeenten helpen met risicopreventie op het gebied van gezondheid, bijvoorbeeld door gezonde keuzes te stimuleren. [241]
Daarnaast heeft beleid om sociale cohesie te bevorderen in wijken invloed op kansengelijkheid, in het bijzonder van kinderen. Wanneer inwoners met een laag inkomen bij elkaar wonen, kunnen zij een hechte groep vormen waarin zij elkaar ondersteunen. [242] Maar als veel kwetsbare mensen bij elkaar wonen kan een gebrek aan hulpbronnen in het sociale netwerk hun kansenongelijkheid vergroten,[243] en dit probleem ontstaat vooral wanneer de sociale verbindingen binnen een wijk afnemen.[244] De sociale omgeving heeft ook invloed op de onderwijskansen van kinderen. Kinderen die opgroeien in een kwetsbare wijk presteren gemiddeld slechter op school, stoppen vaker met school, en vertonen vaker βnormoverschrijdendβ gedrag dan andere kinderen. [245]
Bijlage 1: Vergelijking Haags armoedebeleid met basisbehoeften volgens het Nibud
In hoofdstuk 1 bespreken we in hoeverre de regeling van de gemeente Den Haag in de opzet aansluiten op wat de doelgroep nodig heeft. Voor deze analyse hebben we de basisbehoeften van de minimadoelgroep naast de bestaande gemeentelijke ondersteuning gelegd. De basisbehoeften[246] hebben wij overgenomen uit een overzicht van het Nibud.[247]
Tabel 2 laat zien aan welke basisbehoeften het gemeentebeleid in Den Haag tegemoetkomt. We hebben voor elke basisbehoefte gekeken of de gemeente hier een (subsidie)regeling voor heeft. Daarvoor hebben we niet alleen naar het armoedebeleid gekeken, maar hebben we ook gekeken naar andere beleidsgebieden.
Tabel 2 Beleid gemeente Den Haag per categorie basisbehoeften van het Nibud
| Categorie: Woning en inboedel | ||
| Basisbehoefte | Beleidsveld gemeente | Β Regelingen (en eventuele voorwaarden) |
| Koelkast, wasmachine, vriesvak of aparte vriezer, magnetron of oven | Armoedebeleid en woonbeleid | Individuele inkomenstoeslag (bij 3 jaar lang een inkomen tot 110% van het sociaal minimum)[248] |
| Bijzondere bijstand (bij individuele bijzondere en noodzakelijke kosten)[249] | ||
| Subsidieregeling geldzorgen en geldproblemen, verstrekking via Sociale Fondsen Den Haag[250] | ||
| Duurzame cadeaukaart vanuit DSO wonen (toelating via Ooievaarspas)[251] | ||
| Goed geΓ―soleerde woning | Woonbeleid | Verduurzamingssubsidie voor woningeigenaren vanuit DSO wonen (toelating via Ooievaarspas)[252] |
| Direct bespaaractie voor huurders[253] | ||
| Hulp bij initiatiefrecht voor huurders[254] | ||
| Goed onderhouden woning | Schuldenbeleid en woonbeleid | Lening Gemeentelijke Kredietbank voor woningeigenaren (tot 130% van het sociaal minimum)[255] |
| Prestatieafspraken met woningcorporaties[256] | ||
| Naleving besluit bouwwerken leefomgeving[257] | ||
| Elk kind een eigen slaapkamer | Geen gemeentelijk beleid voor | |
| Voldoende daglicht in woning | Geen gemeentelijk beleid voor | |
| Woning in veilige buurt | Woonbeleid | Investeringen in de verbetering van leefbaarheid en veiligheid in Den Haag Zuidwest[258] |
| Balkon of tuin | Geen gemeentelijk beleid voor | |
| Categorie: Televisie, internet en telefonie | ||
| Basisbehoefte | Beleidsveld gemeente | Β Regelingen (en eventuele voorwaarden) |
| Televisie | Armoede- en schuldenbeleid | Individuele inkomenstoeslag (bij 3 jaar lang een inkomen tot 110% van het sociaal minimum)[259] |
| Bijzondere bijstand (bij individuele bijzondere en noodzakelijke kosten)[260] | ||
| Lening Gemeentelijke Kredietbank (tot 130% van het sociaal minimum)[261] | ||
| Elk gezinslid vanaf 18 jaar een eigen smartphone | Geen gemeentelijk beleid voor[262] | |
| Elk gezinslid vanaf 18 jaar een eigen computer, laptop of tablet | Geen gemeentelijk beleid voor | |
| Internettoegang | Geen gemeentelijk beleid voor | |
| Televisieabonnement met commerciΓ«le zenders | Geen gemeentelijk beleid voor | |
| Categorie: Verzekeringen | ||
| Basisbehoefte | Beleidsveld gemeente | Β Regelingen (en eventuele voorwaarden) |
| Tandartsverzekering | Armoedebeleid | Haagse Zorgverzekering VGZ[263] |
| Aanvullende zorgverzekering | Armoedebeleid | Haagse Zorgverzekering VGZ[264] |
| Inboedelverzekering | Geen gemeentelijk beleid voor | |
| Vrijwillige aansprakelijkheidsverzekering | Geen gemeentelijk beleid voor | |
| Uitvaartverzekering | Geen gemeentelijk beleid voor | |
| Categorie: Vervoer | ||
| Basisbehoefte | Beleidsveld gemeente | Β Regelingen (en eventuele voorwaarden) |
| Elk gezinslid van 4 tot 12 jaar een eigen fiets | Armoedebeleid | Subsidieregeling geldzorgen en geldproblemen,[265] verstrekking via Stichting Leergeld (voor kinderen vanaf 8 jaar),[266] Stichting Leren Doen (voor kinderen vanaf 8 jaar) en het Jeugdeducatiefonds. |
| Elk gezinslid vanaf 12 jaar een eigen fiets | Armoedebeleid | Subsidieregeling geldzorgen en geldproblemen, verstrekking via Kindpakket via Stichting Leergeld (voor kinderen vanaf 8 jaar),[267] Sociale Fondsen Den Haag,[268] Stichting Leren Doen (voor kinderen vanaf 8 jaar) en het Jeugdeducatiefonds. |
| Auto als het gezin buiten de stad woont | N.v.t. in Den Haag, geen gemeentelijk beleid voor | |
| Categorie: Voeding en andere uitgaven | ||
| Basisbehoefte | Beleidsveld gemeente | Β Regelingen (en eventuele voorwaarden) |
| Iedere dag een volwaardig ontbijt | Armoedebeleid | Subsidieregelingen geldzorgen en geldproblemen,[269] verstrekking via Voedselbank Haaglanden. |
| Iedere dag 250 gram groente en twee stuks fruit | Armoedebeleid | Subsidieregelingen geldzorgen en geldproblemen,[270] verstrekking via Voedselbank Haaglanden. |
| Iedere dag een warme maaltijd met vlees, vis of vleesvervanger | Armoedebeleid en aanpalend beleid | Warme maaltijdvoorziening voor ouderen, langdurig zieken en mensen met een beperking (toegang via Ooievaarspas).[271] |
| Subsidieregelingen geldzorgen en geldproblemen,[272] verstrekking via Broodexpres, Sociale Fondsen, Vers & Vrij, en Voedselbank. | ||
| Subsidieregeling eten en ontmoeten (voor organisaties),[273] verstrekking via Stichting VanHarte en Stichting Al Masar. | ||
| Categorie: Sociale participatie | ||
| Basisbehoefte | Beleidsveld gemeente | Β Regelingen (en eventuele voorwaarden) |
| Boeken of gezelschapsspellen | Armoedebeleid | Gratis bibliotheek lidmaatschap via Ooievaarspas[274] |
| Speelgoedbeurs via Ooievaarspas (voor kinderen tot 12 jaar)[275] | ||
| Schoolreisjes waarvoor een ouderbijdrage nodig is | Armoedebeleid en aanpalend beleid | Subsidieregeling geldzorgen & geldproblemen, verstrekking via Jeugdeducatiefonds (voor scholen)[276] |
| Subsidieregeling primair onderwijs (voor scholen)[277] | ||
| Jaarlijks een week op vakantie gaan | Armoedebeleid | Subsidieregeling geldzorgen en geldproblemen, vergoeding van vakantiekampen voor kinderen tot 18 jaar via Stichting Leergeld[278] |
| Viering van speciale dagen | Armoedebeleid | Subsidieregeling geldzorgen en geldproblemen, Speelgoedbon via Stichting Leergeld (voor kinderen van 4 t/m 12 jaar)[279] |
Bijlage 2: Overzicht acties college voor verbeteren toegankelijkheid
Deze bijlage geeft een overzicht van alle door de rekenkamer gevonden activiteiten van het college op het gebied van toegankelijkheid. Dit overzicht wordt behandeld in hoofdstuk 3. Hoewel het overzicht is aangevuld door de ambtelijke organisatie, is dit waarschijnlijk geen uitputtend overzicht. Het kan ook zijn dat sommige activiteiten dubbel genoemd staan. Waar mogelijk hebben we dit aangeven.
Ordening activiteiten college naar deelaspecten toegankelijkheid
We hebben een overzicht gemaakt van verbeteractiviteiten van het college. Deze hebben we geordend aan de hand van zes deelaspecten van toegankelijkheid die we hebben ontleend aan een kader van de Arbeidsinspectie.[280] We hebben gekeken welke concrete acties[281] het college de afgelopen vijf jaar heeft ondernomen om de toegankelijkheid van de armoederegelingen te verbeteren.[282] Hiervoor hebben we jaarrekeningen, beleidsstukken en interne rapportages van 2020 tot 2025 bekeken en bij de ambtelijke organisatie gevraagd welke acties er misten. We hebben hierbij specifiek gekeken naar verbeteracties gericht op de toegankelijkheid van de gemeentelijke armoederegelingen. Verbeteracties die betrekking hebben op de algehele dienstverlening van de gemeente, de algemene bijstandsuitkering, of op andere hulp bij geldzaken zoals schuldhulp en financiΓ«le dienstverlening hebben wij niet meegenomen.
In Tabel 3 staat het overzicht van de acties die de gemeente Den Haag heeft uitgevoerd om de toegankelijkheid van de armoederegelingen te verbeteren, geordend per aspect van toegankelijkheid van de Arbeidsinspectie. De tabel geeft per blok een overzicht van de acties van het college op één van de zes aspecten, die zijn opgedeeld in thematische deelaspecten.
Tabel 3 Verbeteractiviteiten van het college per aspect van toegankelijkheid
| Bereikbaarheid: Inwoners weten waar zij zich moeten melden met een hulpvraag | |
| Deelaspect | Concrete acties |
| Toegangspunten zijn duidelijk en transparant |
|
| Toegangspoorten (telefonisch, digitaal en fysiek) zijn vindbaar en laagdrempelig |
|
| Bekendheid regelingen vergroten: Niet-gebruik door onbekendheid tegengaan | |
| Deelaspect | Concrete acties |
| Inwoners goed informeren en attenderen op regelingen via algemene kanalen |
|
| Inwoners goed informeren en attenderen op regelingen tijdens contactmomenten met inwoners |
|
| Complexiteit regelingen: Voorkomen van afschrikwekkende aspecten in de voorwaarden van regelingen | |
| Deelaspect | Concrete acties |
| Tegengaan van niet-gebruik door angst voor terugvordering |
|
| Tegengaan van niet-gebruik door wirwar aan regelingen | |
| Tegengaan van complexe aanvraagprocedures |
|
| Tegengaan van uiteenlopende definities |
|
| Administratieve (over)belasting: Voorkomen van administratieve (over)belasting voor de aanvrager | |
| Deelaspect | Concrete acties |
| Wegnemen van belemmeringen in regelgeving en beleid |
|
| Wegnemen van organisatorische belemmeringen |
|
| Wegnemen van administratieve belemmeringen |
|
| Eenduidig communiceren | |
| Niet-zelfredzame burgers ondersteunen bij hun aanvraag |
|
| Houding uitvoerders: Voorkomen van niet-gebruik door houding van uitvoerders | |
| Deelaspect | Concrete acties |
| Professionals behandelen inwoners met respect |
|
| ContinuΓ―teit dienstverlening: Voorkomen van problemen door onderbrekingen in het aanvraagproces | |
| Deelaspect | Concrete acties |
| Zorgen dat toegang tot voorzieningen op tijd komt | |
| Voorkomen van wisselende contactpersonen | |
| Voorkomen van vertraging |
|
| Voorkomen van financiΓ«le problemen door discontinuΓ―teit in dienstverlening | |
Bijlage 3: Uitleg verschillende armoededefinities
In deze bijlage geven we een overzicht van de verschillende armoededefinities die in Nederland worden gebruikt. We leggen per cijfer uit hoe deze wordt berekend en geven inzicht in de verschillende inkomens- en vermogensgrenzen aan de hand van drempelbedragen voor verschillende huishoudens.
Meerdere armoedecijfers in gebruik tot 2024
Praten over armoedecijfers kan tot verwarring leiden. Tot eind vorig jaar kende armoede in Nederland geen eenduidige definitie. Dit leidt tot uiteenlopende antwoorden op de vraag hoeveel armoede er is in Nederland. Deze cijfers bespreken hetzelfde fenomeen, maar in feite rapporteren ze over verschillende dingen. Vanaf eind 2024 hebben de belangrijkste onderzoeksinstellingen afgesproken om te rapporteren over armoede aan de hand van dezelfde maatstaf: de nieuwe meetmethode armoede.
Er zal echter een verschil blijven bestaan tussen het landelijke armoedecijfer en de percentages die het college rapporteert in de Armoedemonitor. De doelgroep uit de Armoedemonitor komt niet één op één overeen met de groep mensen die onder de armoedegrens valt. In de Armoedemonitor rapporteert het college niet zozeer over het armoedepercentage in Den Haag, maar over de doelgroep van de armoederegelingen. De doelgroep voor armoederegelingen is groter dan de groep mensen onder de armoedegrens, omdat men recht heeft op deze ondersteuning tot 130% (of soms 150%) van het sociaal minimum.
Verschillende manieren om armoede te meten in Nederland
Het CBS, Nibud en SCP hanteerden tot eind 2024 ieder een eigen methode om armoedecijfers te berekenen. Deze meetmethoden zijn allemaal gebaseerd op de hoogte van het inkomen, maar de armoedegrens varieert per instantie. Dat komt doordat elke instantie naar iets anders kijkt om de armoedegrens te bepalen. Ook verschillen de gehanteerde drempelbedragen voor vermogen.
De lage inkomensgrens van het CBS
Het meest gebruikte armoedecijfer in rapportages over armoede in Nederland is het βrisico op armoedeβ van het CBS. Het CBS spreekt van een risico op armoede wanneer een huishouden een inkomen heeft onder de lage-inkomensgrens, en gebruikt hiervoor de termen βlaag inkomenβ en βarmoederisicoβ als inwisselbaar.[380] De lage-inkomensgrens is gekoppeld aan de hoogte van de bijstand in 1979, en wordt jaarlijks geΓ―ndexeerd. Op die manier reflecteert de lage-inkomensgrens een vast koopkrachtniveau over de tijd. De gemeenteraad refereert bij de vraag in de motie Rekenkameronderzoek efficiency armoedebeleid (RIS 317583) waarom Den Haag koploper armoede is aan het armoedecijfer op basis van de lage inkomensgrens van het CBS.[381]
De Nibud basisbegroting
Het Nibud berekent normbedragen voor verschillende uitgavenposten. Aan de hand van deze normbedragen maakt het Nibud een basisbegroting. Hierin staat per type huishouden wat zij minimaal nodig hebben om alle noodzakelijke uitgaven te kunnen doen.[382] Deze voorbeeldbegroting leidt niet tot een armoedecijfer an sich, maar kan wel worden gebruikt om vast te stellen wanneer een huishouden een toereikend inkomen heeft. Het Nibud gebruikt de basisbegroting in de Minima-effectrapportage voor de Gemeente Den Haag. In deze rapportage wordt per type huishouden bekeken of de basisbegroting sluitend is bij gebruik van alle gemeentelijke inkomensondersteuning.[383]
Het niet-veel-maar-toereikend criterium van het SCP
In haar onderzoeken over armoede hanteert het SCP twee eigen maatstaven die zijn gebaseerd op de basisbegroting van het Nibud. Het SCP rapporteert aan de hand van de Nibud basisbegroting hoeveel huishoudens onvoldoende inkomen hebben om rond te komen, en daarmee tot de groep mensen in armoede behoren. Het SCP onderscheid twee budgetten. Het basisbehoeftenbudget is het bedrag dat nodig is om kosten voor alle onvermijdbare zaken te dekken.[384] Het niet-veel-maar-toereikend-budget is ruimer en houdt rekening met kosten voor sociale inclusie en participatie.[385]
Nieuwe meetmethode armoede
In 2024 hebben het CBS, Nibud en SCP een nieuwe, eenduidige meetmethode voor armoede vastgesteld.[386] Daarmee spreken zij af om vanaf nu allemaal te rapporteren over armoede aan de hand van deze maatstaf. Bij deze nieuwe meetmethode wordt gekeken of men voldoende inkomen heeft om noodzakelijke uitgaven te kunnen bekostigen. Dit wordt vastgesteld door te kijken naar het inkomen en vermogen en hier de kosten voor vasten lasten aan wonen, energie en zorg vanaf te trekken.[387] Als na het betalen van vaste lasten onvoldoende overblijft voor andere basisbehoeften wordt een huishouden als arm beschouwd. Waar mogelijk wordt hierbij gebruik gemaakt van data over de daadwerkelijke uitgaven van huishoudens, en bij ontbrekende data gebruikt men lokale normbedragen.
Wettelijk sociaal minimum
Het sociaal minimum is de beleidsmatige armoedegrens en wordt vastgesteld door het Ministerie van Sociale Zaken en Werkgelegenheid.[388] Dit is volgens het ministerie het minimale dat iemand nodig heeft om rond te komen in de samenleving. Aan de hand van het wettelijk sociaal minimum bepaalt de overheid de hoogte van de bijstandsuitkering.
Gemeenten gebruiken het wettelijk sociaal minimum voor de inkomensgrens van lokale armoederegelingen. Inwoners hebben recht op lokale inkomensafhankelijke regelingen als ze een inkomen tot een bepaald percentage van het wettelijk sociaal minimum verdienen. Het verschilt per gemeente welke grens wordt gehanteerd.[389] Ook in Den Haag is het recht op ondersteuning gekoppeld aan het sociaal minimum.[390]
Bronnen
- Armoede werd tot 2024 gemeten met verschillende cijfers. In dit rapport gebruiken we de armoedecijfers volgens de lage inkomensgrens. Bij dit cijfer wordt enkel naar inkomen en vermogen gekeken. Bij de nieuwe methode om armoede te meten die het CBS vanaf eind 2024 gebruikt worden ook vaste lasten meegenomen. Een uitleg van de verschillende armoedecijfers staat in bijlage 3. β
- RIS317583 Motie Rekenkameronderzoek efficiency armoedebeleid, de gemeenteraad, 23 december 2023. β
- RIS317583 Motie Rekenkameronderzoek efficiency armoedebeleid, de gemeenteraad, 23 december 2023. β
- RIS315197 Raadsmededeling Bijlage Aanpak Geldzorgen en Geldproblemen 2022 β 2023, College van Burgemeester en Wethouders, 11 april 2023, p. 8. β
- RIS319849 Raadsmededeling Bijlage Aanpak Geldzorgen en Geldproblemen 2023-2024, College van Burgemeester en Wethouders. September 2024. β
- Een zeker bestaan: Naar een toekomstig stelsel van het sociaal minimum Rapport I, Commissie Sociaal Minimum. 30 juni 2023, p. 97; Kansrijk armoedebeleid, CPB en SCP, 2020, p. 179. β
- RIS319849 Raadsmededeling Bijlage Aanpak Geldzorgen en Geldproblemen 2023-2024, College van Burgemeester en Wethouders, september 2024, p. 10. β
- Naast de gemeentelijke armoederegelingen biedt de gemeente Den Haag ook aanvullende ondersteuning aan mensen met geldzorgen en geldproblemen, zoals dienstverlening via de Helpdesk Geldzaken en hulp van sociaal raadslieden. Deze ondersteuning valt buiten de scope van dit onderzoek. De subsidies aan organisaties in het kader van het armoedebeleid zijn wel meegenomen in het onderdeel over de aansluiting van het gemeentebeleid op basisbehoeften. β
- Verordening Individuele Inkomenstoeslag 2015 gemeente Den Haag 2015, 2015. Geraadpleegd op Verordening Individuele Inkomenstoeslag gemeente Den Haag 2015 | Lokale wet- en regelgeving (overheid.nl). β
- Individuele inkomenstoeslag aanvragen, Website Gemeente Den Haag (datum onbekend). Geraadpleegd op 4 maart 2025, zie: Individuele inkomenstoeslag aanvragen – Den Haag β
- Beleidsregel minimavoorzieningen en bijzondere bijstand Gemeente Den Haag 2015, 2015, artikel 8. Geraadpleegd op beleidsregels minimavoorzieningen en bijzondere bijstand gemeente den haag 2015 | Lokale wet- en regelgeving (overheid.nl). β
- Beleidsregel minimavoorzieningen en bijzondere bijstand Gemeente Den Haag 2015, 2015, artikel 13-20. Geraadpleegd op beleidsregels minimavoorzieningen en bijzondere bijstand gemeente den haag 2015 | Lokale wet- en regelgeving (overheid.nl) β
- Beleidsregel minimavoorzieningen en bijzondere bijstand Gemeente Den Haag 2015, 2015, artikel 9. Geraadpleegd op beleidsregels minimavoorzieningen en bijzondere bijstand gemeente den haag 2015 | Lokale wet- en regelgeving (overheid.nl). β
- Vergoeding langdurig zieken of gehandicapten, website gemeente Den Haag (datum onbekend). Geraadpleegd op 4 maart 2025, zie: Vergoeding langdurig zieken of gehandicapten – Den Haag β
- We benoemen de kwijtschelding van gemeentelijke belastingen omdat dit een regeling is voor inwoners met een laag inkomen, maar deze regeling is geen onderdeel van het armoedebeleid. Het beleid ligt vast in de Verordening kwijtschelding gemeentelijke belastingen Den Haag 2024. β
- Verordening kwijtschelding gemeentelijke belastingen Den Haag 2024, 2024. Geraadpleegd op Verordening kwijtschelding gemeentelijke belastingen Den Haag 2024 | Lokale wet- en regelgeving (overheid.nl). β
- Beleidsregel minimavoorzieningen en bijzondere bijstand Gemeente Den Haag 2015, 2015, artikel 6. Geraadpleegd op beleidsregels minimavoorzieningen en bijzondere bijstand gemeente den haag 2015 | Lokale wet- en regelgeving (overheid.nl); Verordening maatschappelijke participatie van kinderen 2012, 2016. Geraadpleegd op Verordening maatschappelijke participatie van kinderen 2012 | Lokale wet- en regelgeving (overheid.nl). β
- Alle kinderen gelijke kansen, website Stichting Leergeld, (datum onbekend), https://www.leergelddenhaag.nl/, geraadpleegd op: 8 april 2024. β
- Subsidieregeling tegemoetkoming kosten peuteropvang Den Haag 2019, 2024. Geraadpleegd op Subsidieregeling tegemoetkoming kosten peuteropvang Den Haag 2019 | Lokale wet- en regelgeving (overheid.nl) β
- Gratis identiteitskaart voor jonge Ooievaarspashouders aanvragen, website gemeente Den Haag (datum onbekend), Gratis identiteitskaart voor jonge Ooievaarspashouders aanvragen – Den Haag, geraadpleegd op: 28 mei 2025. β
- Beleidsregel minimavoorzieningen en bijzondere bijstand Gemeente Den Haag 2015, 2015, artikel 7. Geraadpleegd op beleidsregels minimavoorzieningen en bijzondere bijstand gemeente den haag 2015 | Lokale wet- en regelgeving (overheid.nl). β
- Korting op de dagelijkse maaltijd, website Ooievaarspas (datum onbekend), Korting op de dagelijkse maaltijd – Ooievaarspas, geraadpleegd op 28 mei 2025. β
- Duurzame Cadeaukaart voor Ooievaarspashouders, website gemeente Den Haag (datum onbekend), Duurzame Cadeaukaart voor Ooievaarspashouders – Den Haag, geraadpleegd op: 28 mei 2025. β
- Tegemoetkoming dierenartskosten, website Ooievaarspas (datum onbekend), Tegemoetkoming dierenartskosten – Ooievaarspas, geraadpleegd op 28 mei 2025. β
- Wat is genoeg om van te leven? Van den Brakel, M. en Vandewal, E. CBS, Nibud en SCP. 17 oktober 2024. β
- Inwoners kunnen een (bijdrage voor) een koelkast, wasmachine, vriezer of oven krijgen vanuit de individuele inkomenstoeslag, bijzondere bijstand, met de Duurzame cadeaukaart of via de Sociale Fondsen Den Haag. β
- Individuele inkomenstoeslag aanvragen, website Gemeente Den Haag (datum onbekend), Individuele inkomenstoeslag aanvragen – Den Haag, geraadpleegd op: 22 mei 2025. Leidraad Individuele Bijzondere Bijstand 2024, Gemeente Den Haag, juli 2024, p 6; Duurzame cadeaukaart aanvragen, website Duurzame Cadeaukaart (datum onbekend), Cadeaukaart aanvragen – Duurzame Cadeaukaart Den Haag, geraadpleegd op: 22 mei 2025; SFDH helpt in de volgende situaties, website Sociale Fondsen Den Haag (datum onbekend), Situaties, geraadpleegd op: 22 mei 2025. β
- Haagse zorgverzekering bij VGZ, website gemeente Den Haag (datum onbekend), Haagse zorgverzekering bij VGZ – Den Haag, geraadpleegd op: 22 mei 2025. β
- Voedsel- en noodhulp is één van de categorieΓ«n binnen de subsidieregeling Geldzorgen en Geldproblemen. β
- Er zit een winterkledingpas in het Kindpakket van Stichting Leergeld. β
- Kinderen kunnen een fiets (vergoed) krijgen via Stichting Leergeld, Stichting Leren Doen of het Jeugdeducatiefonds. Volwassenen kunnen een fiets vergoed krijgen via Sociale Fondsen Den Haag. β
- Subsidie geldzorgen en geldproblemen, website gemeente Den Haag (datum onbekend), Subsidie geldzorgen en geldproblemen aanvragen – Den Haag, geraadpleegd op: 22 mei 2025; Winterkledingpas, website Stichting Leergeld (datum onbekend), Winterkledingpas, geraadpleegd op: 22 mei 2025; Fiets, website Stichting Leergeld (datum onbekend), Fiets, geraadpleegd op: 22 mei 2025; SFDH helpt in de volgende situaties, website Sociale Fondsen Den Haag (datum onbekend), Situaties, geraadpleegd op: 22 mei 2025. β
- Gratis lid met ooievaarspas, website Bibliotheek Den Haag (datum onbekend), Gratis lid met ooievaarspas, geraadpleegd op: 22 mei 2025. β
- Speelgoedbon, website Leergeld Den Haag (datum onbekend), Speelgoedbon, geraadpleegd op: 22 mei 2025. Stichting Sintvoorieder1, website Sintvoorieder1 (datum onbekend), Stichting Sintvoorieder1 | Over de stichting | Wat we doen, geraadpleegd op: 22 mei 2025. β
- Gratis reizen met de Ooievaarspas, website gemeente Den Haag (datum onbekend), Gratis reizen met de Ooievaarspas – Den Haag, geraadpleegd op: 22 mei 2025. β
- Informatie over Ooievaarsregelingen, website Ooievaarspas (datum onbekend), Informatie over Ooievaarsregelingen – Ooievaarspas, geraadpleegd op: 22 mei 2025. β
- Informatie over Ooievaarsregelingen, website Ooievaarspas (datum onbekend), Informatie over Ooievaarsregelingen – Ooievaarspas, geraadpleegd op: 22 mei 2025. β
- RIS316050 Collegebesluit Gelijke kansen voor Zuidwest. College van Burgemeester en Wethouders, 26 september 2023. β
- Reactie ambtelijke organisatie. β
- Wat kun je aanvragen?, website Stichting Leergeld (datum onbekend), Wat kun je aanvragen?, geraadpleegd op: 22 mei 2025. β
- De individuele inkomenstoeslag is bedoeld voor grote uitgaven, zoals het vervangen van huishoudelijke producten. β
- Individuele inkomenstoeslag aanvragen, website Den Haag (datum onbekend), Individuele inkomenstoeslag aanvragen – Den Haag, geraadpleegd op: 22 mei 2025. β
- Geld lenen bij de Gemeentelijke Kredietbank, website gemeente Den Haag (datum onbekend), Geld lenen bij de Gemeentelijke Kredietbank – Den Haag, geraadpleegd op: 22 mei 2025. β
- Daarbij blijft het wel zo dat voor elke voorziening die aan de Ooievaarspas is gekoppeld een aparte aanvraag moet worden gedaan bij Stichting Leergeld. β
- Wanneer er sprake is van βonvermijdelijke, noodzakelijke kostenβ kan dit vanuit de individuele bijzondere bijstand. β
- Bijzondere bijstand, website gemeente Den Haag (datum onbekend), Bijzondere bijstand – Den Haag, geraadpleegd op: 22 mei 2025. β
- Individuele inkomenstoeslag aanvragen, website Den Haag (datum onbekend), Individuele inkomenstoeslag aanvragen – Den Haag, geraadpleegd op: 27 mei 2025. β
- Verschillen in gemeentelijk Minimabeleid: Vergelijking van 20 gemeenten, Nibud. November 2024, p.19. β
- Gemeentelijke regelingen, website Nibud (datum onbekend), Gemeentelijke regelingen – Nibud, geraadpleegd op: 27 mei 2025; Een zeker bestaan. Naar een toekomstbestendig stelsel van het sociaal minimum Rapport I, Commissie Sociaal Minimum. 30 juni 2023, p. 125. β
- Een zeker bestaan. Naar een toekomstbestendig stelsel van het sociaal minimum, Commissie Sociaal Minimum. 28 september 2023, p. 139. Verschillen in gemeentelijk Minimabeleid: Vergelijking van 20 gemeenten, Nibud. November 2024, p.19. β
- In 2023 vergeleek het Nibud de uitkomsten van de minima-effectrapportages van 20 gemeenten. Dit zijn zowel grote als kleine gemeenten, van binnen en buiten de Randstad. In 2025 vergeleek het IPE de armoederegelingen van 21 gemeenten waaronder de G3, en de inkomensgrenzen voor de individuele inkomenstoeslag van 72 gemeenten. Ook rekende het IPE de gemeentelijke regelingen om in geld om een vergelijking te maken van de steun die inwoners ontvangen in verschillende gemeenten. De Commissie Sociaal Minimum vergeleek in 2023 de inkomensgrenzen voor armoederegelingen van zeventien gemeenten. β
- Verschillen in gemeentelijk Minimabeleid: Vergelijking van 20 gemeenten, Nibud. November 2024, p. 6. β
- Eerlijker en eenvoudiger armoedebeleid, Instituut voor Publieke Economie. Januari 2025; Dashboard gemeentelijke armoederegelingen, website IPE (7 juli 2025). Geraadpleegd op 2 september 2025. Dashboard gemeentelijke armoederegelingen β Instituut voor Publieke Economie. β
- Naar een toekomstbestendig stelsel van het sociaal minimum Rapport II, Commissie Sociaal Minimum, 28 september 2023. β
- Wat kan het beleid aan armoede doen? Vrooman, C. In: Armoede in kaart. Sociaal en Cultureel Planbureau. 27 september 2016, p. 101. β
- De inkomensgrens bepaalt wie voor ondersteuning in aanmerking komt op basis van inkomen: inwoners met een inkomen onder de gestelde grens kunnen er gebruik van maken. β
- Het sociaal minimum is een andere benaming voor de bijstandsnorm. β
- Een zeker bestaan. Naar een toekomstig stelsel van het sociaal minimum Rapport I, Commissie Sociaal Minimum. 30 juni 2023, p. 141. β
- De bijzondere bijstand ontbreekt in deze vergelijkingen. Voor de bijzondere bijstand geldt geen formele inkomensgrens, omdat hier maatwerk wordt geboden. Hier wordt bepaald of iemand recht heeft op ondersteuning op basis van een draagkrachtberekening. β
- De Commissie Sociaal Minimum vergeleek de inkomensgrenzen voor armoederegelingen van zeventien gemeenten. Slechts drie gemeenten hanteerden een hoogte van 130% van het sociaal minimum, en de overige zaten hieronder. Geen van de onderzochte gemeenten hanteerde een inkomensgrens van 150%. Het IPE vergeleek 21 gemeenten, waaronder de G3. In deze vergelijking hanteren de meeste gemeenten een inkomensgrens tussen 120% en 130% van het sociaal minimum, met Den Haag en Amsterdam als enige uitschieters op 150%. β
- Een zeker bestaan. Naar een toekomstbestendig stelsel van het sociaal minimum Rapport II, Commissie Sociaal Minimum, 28 september 2023, p. 140. Eerlijker en eenvoudiger armoedebeleid, Instituut voor Publieke Economie. Januari 2025, p. 15. β
- Het IPE vergeleek inkomensgrenzen voor de individuele inkomenstoeslag van 72 gemeenten. β
- Eerlijker en eenvoudiger armoedebeleid, Instituut voor Publieke Economie. Januari 2025, p.40 β
- Eerlijker en eenvoudiger armoedebeleid, Instituut voor Publieke Economie. Januari 2025, p. 40. β
- Een zeker bestaan. Naar een toekomstbestendig stelsel van het sociaal minimum Rapport II, Commissie Sociaal Minimum, 28 september 2023, p. 131. β
- Verordening Individuele Inkomenstoeslag gemeente Den Haag 2015. Geraadpleegd op Verordening Individuele Inkomenstoeslag gemeente Den Haag 2015 | Lokale wet- en regelgeving β
- Eerlijker en eenvoudiger armoedebeleid, Instituut voor Publieke Economie. Januari 2025, p. 40. β
- We benoemen de kwijtschelding van gemeentelijke belastingen omdat dit een regeling is voor inwoners met een laag inkomen, maar deze regeling is geen onderdeel van het armoedebeleid. Het beleid ligt vast in de Verordening kwijtschelding gemeentelijke belastingen Den Haag 2024. β
- Invordering en Kwijtschelding. Website VNG (datum onbekend). Geraadpleegd op 13 mei 2025, zie: Invordering en Kwijtschelding | VNG β
- Verordening kwijtschelding gemeentelijke belastingen Den Haag 2024, 2024, artikel 4, lid a β
- De bandbreedte van inkomensgrenzen is gebaseerd op verschillende onderzoeken. β
- Verschillen in gemeentelijk Minimabeleid: Vergelijking van 20 gemeenten, Nibud. November 2024, p.8; Eerlijker en eenvoudiger armoedebeleid, Instituut voor Publieke Economie. Januari 2025, p.9 & 40; Minimaregelingen in de achttien Friese gemeenten, Planbureau FryslΓ’n. September 2024; RIS319849 Bijlage Minima-effectrapportage gemeente Den Haag 2024. College van Burgemeester en Wethouders. 15 maart 2024. β
- Een zeker bestaan. Naar een toekomstbestendig stelsel van het sociaal minimum Rapport II, Commissie Sociaal Minimum. 28 september 2023, p. 125. β
- Een zeker bestaan. Naar een toekomstbestendig stelsel van het sociaal minimum Rapport II, Commissie Sociaal Minimum. 28 september 2023, p. 132. β
- Invordering en Kwijtschelding, website VNG. Geraadpleegd op 14 mei 2025, zie: Invordering en Kwijtschelding | VNG β
- Bij een armoedeval gaan mensen er financieel op achteruit wanneer zij meer gaan werken of een hoger inkomen krijgen, doordat ze geen recht meer hebben op financiΓ«le ondersteuning zoals toeslagen of regelingen. β
- Uitzondering hierop is de kwijtschelding gemeentelijke belastingen en de individuele inkomenstoeslag die al op respectievelijk 100% en 110% wegvallen. β
- Eerlijker en eenvoudiger armoedebeleid, Instituut voor Publieke Economie. Januari 2025, p. 20. β
- Beleidsregel minimavoorzieningen en bijzondere bijstand Gemeente Den Haag 2015, 2015, artikel 6, lid 3. Geraadpleegd op beleidsregels minimavoorzieningen en bijzondere bijstand gemeente den haag 2015 | Lokale wet- en regelgeving (overheid.nl). β
- De individuele inkomenstoeslag en bijzondere bijstand hebben een voorgeschreven vermogensgrens uit de Participatiewet. De kwijtschelding lokale lasten heeft een eigen vermogensnorm. Deze ligt per definitie lager dan de vermogensgrens voor de bijstand. β
- Eerlijker en eenvoudiger armoedebeleid, Instituut voor Publieke Economie. Januari 2025, p.10. β
- Bij regelingen zoals de collectieve zorgverzekering of regelingen voor participatie die gebaseerd zijn op de gemeentewet hebben gemeenten meer beleidsvrijheid, mits het beleid niet in strijd is met overig recht en het algemeen belang. Sommige gemeenten hanteren geen vermogensgrens voor armoederegelingen die gebaseerd zijn op de gemeentewet. β
- Eerlijker en eenvoudiger armoedebeleid, Instituut voor Publieke Economie. Januari 2025, p.10; Minimaregelingen in de achttien Friese gemeenten, Planbureau FryslΓ’n. September 2024. Meer bereiken: onderzoek naar lokale inkomensregelingen. Rekenkamer Rotterdam Capelle aan den IJssel, 20 maart 2025, p.69. β
- Factsheet Bijzondere bijstand, website Divosa (28 mei 2024), Hebben gemeenten beleidsvrijheid? | Divosa, geraadpleegd op 11 juni 2025. β
- De vermogensgrens voor kwijtschelding van lokale belastingen ligt lager dan de vermogensgrens van de participatiewet. Gemeenten hebben recent de mogelijkheid gekregen om een hoger vermogen toe te staan. Den Haag heeft hier gebruik van gemaakt. β
- Beleidsregel minimavoorzieningen en bijzondere bijstand Gemeente Den Haag 2015, 2015, artikel 2.2, lid 2. Geraadpleegd op beleidsregels minimavoorzieningen en bijzondere bijstand gemeente den haag 2015 | Lokale wet- en regelgeving (overheid.nl). β
- Minimaregelingen in de achttien Friese gemeenten, Planbureau FryslΓ’n. September 2024; Meer bereiken: onderzoek naar lokale inkomensregelingen. Rekenkamer Rotterdam Capelle aan den IJssel, 20 maart 2025, p.69. β
- Beleidsregel minimavoorzieningen en bijzondere bijstand Gemeente Den Haag 2015, 2015, artikel 2.2, lid 2. Geraadpleegd op beleidsregels minimavoorzieningen en bijzondere bijstand gemeente den haag 2015 | Lokale wet- en regelgeving (overheid.nl). β
- Eerlijker en eenvoudiger armoedebeleid, Instituut voor Publieke Economie. Januari 2025, p. 57; Dashboard gemeentelijke armoederegelingen, website Instituut voor Publieke Economie (7 juli 2025). Geraadpleegd op 2 september 2025. Zie: Dashboard gemeentelijke armoederegelingen β Instituut voor Publieke Economie. β
- Dashboard gemeentelijke armoederegelingen, website Instituut voor Publieke Economie (7 juli 2025). Geraadpleegd op 2 september 2025. Zie: Dashboard gemeentelijke armoederegelingen β Instituut voor Publieke Economie. β
- Verschillen in gemeentelijk Minimabeleid: Vergelijking van 20 gemeenten, Nibud. November 2024, p.12. β
- Figuur Rekenkamer Den Haag. Data afkomstig uit Dashboard gemeentelijke armoederegelingen, website Instituut voor Publieke Economie (7 juli 2025). Geraadpleegd op 2 september 2025. Zie: Dashboard gemeentelijke armoederegelingen β Instituut voor Publieke Economie. β
- Verschillen in gemeentelijk Minimabeleid: Vergelijking van 20 gemeenten, Nibud. November 2024. β
- Verschillen in gemeentelijk Minimabeleid: Vergelijking van 20 gemeenten, Nibud. November 2024, p.17. β
- Verschillen in gemeentelijk Minimabeleid: Vergelijking van 20 gemeenten, Nibud. November 2024, p.15. β
- Figuur Rekenkamer Den Haag. Data afkomstig uit Verschillen in gemeentelijk Minimabeleid: Vergelijking van 20 gemeenten, Nibud. November 2024, p.13; RIS319849 Bijlage Minima-effectrapportage gemeente Den Haag 2024. College van Burgemeester en Wethouders. 15 maart 2024. β
- Hobbels op weg naar inkomensondersteuning. Inspectie SZW. 2018, p. 34. β
- Hobbels op weg naar inkomensondersteuning. Inspectie SZW. 2018, p. 34. β
- RIS313189 Coalitieakkoord Den Haag 2022 β 2026, College van Burgemeester en Wethouders. 16 september 2022, p. 58; RIS313463 Raadsvoorstel Bijlage Programmabegroting 2023-2026, College van Burgemeester en Wethouders, 1 december 2022, p. 71. β
- Figuur door Rekenkamer Den Haag. Hobbels op weg naar inkomensondersteuning. Inspectie SZW. 2018, p. 34. β
- Hobbels op weg naar inkomensondersteuning. Inspectie SZW. 2018, p. 6, 34. β
- Hobbels op weg naar inkomensondersteuning. Inspectie SZW. 2018, p. 6, 34. β
- Bestandsvergelijking is nog niet in alle gevallen toegestaan, maar het kabinet werkt aan een wetsvoorstel dat de bevoegdheden voor gemeenten op dit gebied vergroot. β
- Kamerstuk 26448 nr. 792: Structuur van de uitvoering werk en inkomen (SUWI), Tweede Kamer der Staten Generaal, 21 november 2024. β
- Hobbels op weg naar inkomensondersteuning. Inspectie SZW. 2018, p. 35. β
- Hobbels op weg naar inkomensondersteuning. Inspectie SZW. 2018, p. 6, 34. β
- Hobbels op weg naar inkomensondersteuning. Inspectie SZW. 2018, p. 6, 35. β
- Hobbels op weg naar inkomensondersteuning. Inspectie SZW. 2018, p. 6, 35. β
- RIS313189 Coalitieakkoord Den Haag 2022 β 2026, College van Burgemeester en Wethouders. 16 september 2022, p. 58; RIS313463 Raadsvoorstel Bijlage Programmabegroting 2023-2026, College van Burgemeester en Wethouders, 1 december 2022, p. 71. β
- Intern document: Programmaplan Vergroten gebruik minimaregelingen en FinanciΓ«le hulpverlening. Juni 2023, p. 4. β
- RIS322351 Raadsmededeling Bijlage Jaaroverzicht programma vergroten gebruik 2024, College van Burgemeester en Wethouders, 4 juni 2025. β
- RIS322351 Raadsmededeling Bijlage Jaaroverzicht programma vergroten gebruik 2024, College van Burgemeester en Wethouders, 4 juni 2025, p. 22. β
- Factsheet Armoedebeleid gemeente Den Haag 2022, CBS, 2024. β
- RIS322351 Raadsmededeling Jaarrapportage Vergroten Gebruik 2024, College van Burgemeester en Wethouders, 4 juni 2025, p. 2. β
- RIS319849 Raadsmededeling Bijlage Aanpak Geldzorgen en Geldproblemen 2023-2024, College van Burgemeester en Wethouders, september 2024, p. 8. β
- Monitor lage inkomens Rotterdam 2022, Gemeente Rotterdam, 4 april 2022, p. 55; Amsterdamse armoedemonitor 2023. Herziene versie β januari 2025, Gemeente Amsterdam, januari 2025, pp. 30. β
- RIS319849 Raadsmededeling Bijlage Aanpak Geldzorgen en Geldproblemen 2023-2024, College van Burgemeester en Wethouders, september 2024, p. 6. β
- RIS319849 Raadsmededeling Bijlage Armoedemonitor 2023. College van Burgemeester en Wethouders, 10 september 2024, p. 22. β
- Armoedescan, website CBS (18 maart 2025), Armoedescan, geraadpleegd op 15 juli 2025. β
- Armoedescan, website CBS (18 maart 2025), Armoedescan, geraadpleegd op 15 juli 2025. β
- RIS319849 Raadsmededeling Bijlage Armoedemonitor 2023. College van Burgemeester en Wethouders, 10 september 2024, p. 22. β
- Zien, luisteren en helpen, Sociaal en Cultureel Planbureau, 13 juni 2024, p. 30. β
- Zien, luisteren en helpen, Sociaal en Cultureel Planbureau, 13 juni 2024, p. 30. β
- Vindplaatsen verborgen armen: naar effectievere wegen om huishoudens met een laag inkomen te ondersteunen, Hogeschool van Amsterdam. L. Desain, R. van Dam, S. Hees, M. J. Kruithof & A. L. Custers. 2025, p. 16. β
- Vindplaatsen verborgen armen: naar effectievere wegen om huishoudens met een laag inkomen te ondersteunen, Hogeschool van Amsterdam. L. Desain, R. van Dam, S. Hees, M. J. Kruithof & A. L. Custers. 2025, p. 16. β
- Benchmarkonderzoek bereik minimaregelingen, Gemeente Amsterdam, 2017, p. 2. β
- Monitor lage inkomens Rotterdam 2022, Gemeente Rotterdam, 4 april 2022, p. 17. β
- Monitor lage inkomens Rotterdam 2022, Gemeente Rotterdam, 4 april 2022; Amsterdamse armoedemonitor 2023. Herziene versie β januari 2025, Gemeente Amsterdam, januari 2025. β
- RIS319849 Raadsmededeling Bijlage Minima-effectrapportage gemeente Den Haag 2024. College van Burgemeester en Wethouders. 15 maart 2024. β
- RIS319849 Raadsmededeling Bijlage Minima-effectrapportage gemeente Den Haag 2024. College van Burgemeester en Wethouders. 15 maart 2024. β
- RIS319849 Raadsmededeling Bijlage Armoedemonitor 2023. College van Burgemeester en Wethouders, 10 september 2024 β
- RIS315197 Raadsmededeling Bijlage Niet-gebruik van Haagse minimaregelingen. CBS onderzoek naar de omvang en kenmerken van de niet-gebruikers van Haagse minimaregelingen. College van Burgemeester en Wethouders, januari 2023 β
- RIS315197 Raadsmededeling Bijlage Aanpak geldzorgen en geldproblemen Den Haag 2022-2023. College van Burgemeester en Wethouders, 11 april 2023, p. 8. β
- RIS315197 Raadsmededeling Bijlage Niet-gebruik van Haagse minimaregelingen. CBS onderzoek naar de omvang en kenmerken van de niet-gebruikers van Haagse minimaregelingen. College van Burgemeester en Wethouders, januari 2023; Evaluatie armoederegelingen Den Haag, CBS, 3 oktober 2023. β
- Uitvraag ambtelijke organisatie. β
- RIS313463 Raadsvoorstel Bijlage Programmabegroting 2023-2026, College van Burgemeester en Wethouders, 1 december 2022, p. 69; RIS313189 Coalitieakkoord: Den Haag 2022-2026, College van Burgemeester en Wethouders, 16 september 2022, p. 69. β
- RIS315197 Raadsmededeling Bijlage Aanpak Geldzorgen en Geldproblemen 2022-2023, College van Burgemeester en Wethouders, 11 april 2023, p.2. β
- RIS316918 Raadsvoorstel Bijlage Programmabegroting 2024-2027, College van Burgemeester en Wethouders, 27 oktober 2023, p.77. β
- RIS315197 Raadsmededeling Bijlage Aanpak Geldzorgen en Geldproblemen 2022-2023, College van Burgemeester en Wethouders, 11 april 2023, p. 2. β
- RIS315197 Raadsmededeling Bijlage Aanpak Geldzorgen en Geldproblemen 2022-2023, College van Burgemeester en Wethouders, 11 april 2023, p. 26. β
- Enkele andere gemeenten zoals Heerlen, Vaals en Enschede hebben ook een hoger armoedecijfer dan het Nederlands gemiddelde. Deze steden lijken echter niet op Den Haag qua demografische samenstelling. Daarom hebben we deze steden niet meegenomen in deze vergelijking. Ook Utrecht wijkt qua bevolkingssamenstelling af van de rest van de G4 en is daarom geen onderdeel van deze vergelijking. β
- Een nieuwe methode om armoede in Nederland te meten. Website CBS (17 oktober 2024). https://www.cbs.nl/nl-nl/longread/rapportages/2024/een-nieuwe-methode-om-armoede-in-nederland-te-meten-samenvatting, Geraadpleegd op: 26 februari 2025. β
- De gemeente Den Haag hanteert in haar rapportages percentages van het sociaal minimum. Het percentage inwoners met een inkomen tot 110% van het sociaal minimum is een van de indicatoren voor Werk en inkomen in de programmabegroting. In de Armoedemonitor gebruikt het college de afbakening inkomen 130% en 150% van het sociaal minimum om inzichtelijk te maken hoeveel huishoudens recht hebben op de armoederegelingen. β
- RIS315197 Raadsmededeling Bijlage Armoedemonitor: CBS onderzoek naar Haagse minimahuishoudens en het gebruik van gemeentelijke minimaregelingen. College van Burgemeester en Wethouders, 11 april 2023. β
- De cijfers op basis van de nieuwe armoedegrens van 2024 (rechts in de grafiek) zijn met terugwerkende kracht berekend voor 2022 door het CBS. β
- Figuur Rekenkamer Den Haag. Data afkomstig uit CBS Statline. β
- Het CBS spreekt van een risico op armoede wanneer een huishouden een inkomen heeft onder de lage-inkomensgrens, en gebruikt hiervoor de termen βlaag inkomenβ en βarmoederisicoβ door elkaar. β
- RIS317583 Motie Rekenkameronderzoek efficiency armoedebeleid, Gemeenteraad, 23 december 2023. β
- Naast het inkomen gaat de gemeente bij het bepalen van de minimapopulatie uit van een vermogen onder de bijstandsnorm. β
- RIS315197 Raadsmededeling Bijlage Armoedemonitor: CBS onderzoek naar Haagse minimahuishoudens en het gebruik van gemeentelijke minimaregelingen. College van Burgemeester en Wethouders, 11 april 2023. β
- RIS315197 Raadsmededeling Bijlage Armoedemonitor: CBS onderzoek naar Haagse minimahuishoudens en het gebruik van gemeentelijke minimaregelingen. College van Burgemeester en Wethouders, 11 april 2023. β
- RIS315197 Raadsmededeling Bijlage Armoedemonitor: CBS onderzoek naar Haagse minimahuishoudens en het gebruik van gemeentelijke minimaregelingen. College van Burgemeester en Wethouders, 11 april 2023, p. 12-16; Inkomens verdeeld, 40 jaar in vogelvlucht. Website Centraal Bureau voor de Statistiek (oktober 2021), 6. Risico op armoede | CBS, geraadpleegd op 23 juli 2024. β
- Armoede en sociale uitsluiting 2023. Centraal Bureau voor de Statistiek, 2023. β
- Waar wonen de armen in Nederland? Hoff, S. & Van Hulst, B. In: Armoede in kaart 2019. Sociaal en Cultureel Planbureau. September 2019, p. 44. β
- Waar wonen de armen in Nederland? Hoff, S. & Van Hulst, B. In: Armoede in kaart 2019. Sociaal en Cultureel Planbureau. September 2019, p. 44. β
- De Haagse re-integratieaanpak 2018-2020 onderzocht. Berenschot. 8 augustus 2022, p. 61. β
- RIS319193 Raadsmededeling Bijlage Staat van de Stad 2024. College van Burgemeester en Wethouders. 18 juni 2024, p. 160. β
- Naast de algemene bijstand die wordt verstrekt op grond van de Participatiewet zijn er nog drie aan de bijstand gerelateerde uitkeringen. Dit zijn uitkeringen vanuit de Wet inkomensvoorziening oudere werklozen en gedeeltelijk arbeidsongeschikte werkloze werknemers (IOAW) en de Wet inkomensvoorziening oudere gewezen zelfstandigen en gedeeltelijk arbeidsongeschikte gewezen zelfstandigen (IOAZ), en het Besluit bijstandverlening zelfstandigen (Bbz). β
- Armoede en sociale uitsluiting 2023. Centraal Bureau voor de Statistiek, 2023, p. 29; Zie: Personen met een uitkering; kenmerken uitkeringsontvangers 2007-2024, website CBS (31 januari 2025), https://www.cbs.nl/nl-nl/cijfers/detail/83427NED, geraadpleegd op 24 september 2024. β
- Armoede en sociale uitsluiting 2023. Centraal Bureau voor de Statistiek, 2023, p. 30. β
- Armoede en sociale uitsluiting 2023. Centraal Bureau voor de Statistiek, 2023, p. 30; Statline CBS StatLine – Laag en langdurig laag inkomen; huishoudenskenmerken, regio (indeling 2023) β
- In Figuur 7 is zichtbaar dat het aantal personen met een bijstandsuitkering tijdens de coronacrisis in 2020 tijdelijk toenam, en dat die stijging in de grote steden sterker was dan landelijk gemiddeld. Volgens het CBS is een mogelijk verklaring voor deze sterkere stijging dat het aantal jongere bijstandsontvangers en bijstandsontvangers met een migratieachtergrond in die periode naar verhouding meer toenam. β
- Ruim 3 procent meer bijstandsontvangers in 2020. Website CBS (1 maart 2021), https://www.cbs.nl/nl-nl/nieuws/2021/09/ruim-3-procent-meer-bijstandsontvangers-in-2020, geraadpleegd op 24 september 2024. β
- Figuur Rekenkamer Den Haag. Data afkomstig uit CBS Statline. β
- Laag en langdurig laag inkomen; huishoudenskenmerken, regio (indeling 2023). Website CBS statline (8 november 2023). Zie: StatLine – Laag en langdurig laag inkomen; huishoudenskenmerken, regio (indeling 2023). β
- Laag en langdurig laag inkomen; huishoudenskenmerken, regio (indeling 2023). Website CBS statline (8 november 2023). Zie: StatLine – Laag en langdurig laag inkomen; huishoudenskenmerken, regio (indeling 2023). β
- Armoede en sociale uitsluiting 2023. Centraal Bureau voor de Statistiek. 2023, p.66. β
- Werken zonder armoede. Sociaal-Economische Raad. september 2021, p. 18. β
- Werken zonder armoede. Sociaal-Economische Raad. september 2021, p. 18. β
- Werken zonder armoede. Sociaal-Economische Raad. september 2021, p. 18, 95. β
- Armoede en sociale uitsluiting 2023. Centraal Bureau voor de Statistiek. 2023, p.26. β
- Armoede en sociale uitsluiting 2023. Centraal Bureau voor de Statistiek. 2023, p.32. β
- Armoede en sociale uitsluiting 2023. Centraal Bureau voor de Statistiek. 2023, p.53. β
- Armoede en sociale uitsluiting 2023. Centraal Bureau voor de Statistiek. 2023, p.67. β
- In welke regio wonen zzpβers? Website CBS (datum onbekend) Geraadpleegd op 24 september 2024, zie: https://www.cbs.nl/nl-nl/faq/zzp/in-welke-regio-s-wonen-zzp-ers-; Is elders in de EU het aandeel zzpβers zo hoog als in Nederland? Website CBS (datum onbekend), https://www.cbs.nl/nl-nl/dossier/dossier-zzp/is-elders-in-de-eu-het-aandeel-zzp-ers-zo-hoog-als-in-nederland-, geraadpleegd op 24 september 2024. β
- Armoede, sociale uitsluiting en mensenrechten. College voor de Rechten van de Mens. 2016, p. 129. β
- Armoede en sociale uitsluiting 2023. Centraal Bureau voor de Statistiek. 2023, p.73. β
- De onderkant van de arbeidsmarkt in 2025. Centraal Planbureau & Sociaal en Cultureel Planbureau. juni 2015, p 43. β
- Werken zonder armoede. Sociaal-Economische Raad. september 2021, p. 19. β
- Nieuwe kindregelingen voordeligst voor laagste inkomen. Website CBS (4 februari 2016). Geraadpleegd op 4 februari 2025, zie: Nieuwe kindregelingen voordeligst voor laagste inkomens | CBS β
- Armoede en sociale uitsluiting 2023. Centraal Bureau voor de Statistiek. 2023, p.35 β
- Armoede bij kinderen en volwassenen. Hoff, S. & Van Hulst, B. In: Armoede in kaart 2019. Sociaal en Cultureel Planbureau. September 2019, p. 24. β
- Opgroeien zonder armoede. Sociaal-Economische Raad. 2017, p. 115. β
- Figuur Rekenkamer Den Haag. Data afkomstig uit CBS Statline. β
- Figuur Rekenkamer Den Haag. Data afkomstig uit CBS Statline. β
- Figuur Rekenkamer Den Haag. Data afkomstig uit CBS Statline. β
- Opgroeien en opvoeden in armoede. Nederlands Jeugdinstituut. December 2020, p. 31. β
- Voorbestemd tot achterstand. Sociaal en Cultureel Planbureau, M. Guiaux ; A. Roest, & J. Iedema. 1 september 2011, p. 15. β
- Jongere zonder startkwalificatie vindt minder vaak werk. Website CBS (6 oktober 2020). Geraadpleegd op 18 februari 2025, zie: Jongere zonder startkwalificatie vindt minder vaak werk | CBS. β
- De onderkant van de arbeidsmarkt in 2025. Centraal Planbureau en Sociaal en Cultureel Planbureau. Juni 2015, p. 34. β
- Armoede en sociale uitsluiting 2023, CBS, 2023, p.34. β
- De onderkant van de arbeidsmarkt in 2025. Centraal Planbureau en Sociaal en Cultureel Planbureau. Juni 2015, p. 41. β
- Bestaanszekerheid onder druk. Movisie. Maart 2022, p. 17. β
- Data afkomstig uit CBS Statline. Bevolking 15 tot 75 jaar; opleidingsniveau, 2022. β
- Een persoon heeft een migratieachtergrond als ten minste één van de ouders of hij/zij zelf in het buitenland is geboren. β
- Migratieachtergrond. Website CBS (datum onbekend). Geraadpleegd op 4 februari 2025, zie: https://www.cbs.nl/nl-nl/onze-diensten/methoden/begrippen/migratieachtergrond. β
- Armoede en sociale uitsluiting 2023. Centraal Bureau voor de Statistiek. 2023, p. 40. β
- Werken zonder armoede. Sociaal Economische Raad. September 2021, p 20. β
- Voorbestemd tot achterstand. Sociaal en Cultureel Planbureau. M. Guiaux, A. Roest, & J. Iedema. September 2011, p. 26. Armoede, sociale uitsluiting en mensenrechten. College voor de Rechten van de Mens. 2016, p. 128. β
- Inkomenspositie ouderen. SEO Economisch onderzoek. Februari 2017, p. 9. β
- Grafiek Rekenkamer Den Haag. Cijfers afkomstig uit CBS (Statline). β
- Ruim 70 tot 80 procent van werknemers geboren in Polen, Bulgarije, RoemeniΓ« en Hongarije heeft een uurloon onder de 15 euro. β
- Bijna 180 duizend banen vervuld door Polen. Website CBS (4 april 2019). Jaarrapportage arbeidsmigranten 2023. Ministerie van Sociale Zaken en Werkgelegenheid. December 2023, p. 9. Geraadpleegd op 26 februari 2025, zie: Bijna 180 duizend banen vervuld door Polen | CBS. β
- Staat van eerlijk werk 2019. βRisicoβs aan de onderkant van de arbeidsmarktβ. Inspectie SZW. 2019, p. 36. β
- Bijna 180 duizend banen vervuld door Polen. Website CBS (4 april 2019). Geraadpleegd op 26 februari 2025, zie: Bijna 180 duizend banen vervuld door Polen | CBS. β
- Dit cijfer heeft betrekking op migranten die niet de Nederlandse nationaliteit hebben en die naar Nederland zijn gekomen om te werken. Dit omvat 28.445 geregistreerde en niet geregistreerde arbeidsmigranten. β
- RIS319193 Raadsmededeling Bijlage Staat van de Stad 2024. College van Burgemeester en Wethouders. 18 juni 2024, p. 71 en 72. β
- Den Haag schat in dat ongeveer de helft van de arbeidsmigranten ongeregistreerd is. Dit zijn veelal arbeidsmigranten uit Midden- en Oost-Europa. β
- RIS319193 Raadsmededeling Bijlage Staat van de Stad 2024. College van Burgemeester en Wethouders. 18 juni 2024, p 72. β
- Waarom de schattingen van het aantal arbeidsmigranten sterk variΓ«ren. Website Adviesraad Migratie (9 augustus 2023). Obermann, L. Geraadpleegd op 23 februari 2025, zie: https://www.adviesraadmigratie.nl/actueel/weblog/blogseries-en-commentaren/2023/uitgelicht-waarom-de-schattingen-van-het-aantal-arbeidsmigranten-sterk-varieren β
- Arbeidsmigranten in Zuid-Holland: ontwikkeling in aantal en herkomstlanden. SEOR, Erasmus School of Economics. 9 oktober 2020, p. 29; Rapport arbeidsmigranten. Inspectie SZW, Ministerie van Sociale Zaken en Werkgelegenheid. Januari 2021, p. 15. β
- Vestigingspatronen van recente immigranten. Planbureau voor de Leefomgeving. Van der Star, M., De Jong, A. & Manting, D. 30 juni 2021. P. 42. β
- Arbeidsmigranten in Zuid-Holland: ontwikkeling in aantal en herkomstlanden. SEOR, Erasmus School of Economics. 9 oktober 2020, p. 30. β
- RIS319193 Raadsmededeling Bijlage Staat van de Stad 2024. College van Burgemeester en Wethouders. 18 juni 2024, p. 190. β
- RIS319193 Raadsmededeling Bijlage Staat van de Stad 2024. College van Burgemeester en Wethouders. 18 juni 2024, p. 166; Kennissynthese Waardevol werken voor iedereen. Movisie. Oktober 2023, p. 23. β
- Armoede, sociale uitsluiting en mensenrechten. College voor de Rechten van de Mens. 2016, p. 50. β
- RIS319193 Raadsmededeling Bijlage Staat van de Stad 2024. College van Burgemeester en Wethouders. 18 juni 2024, p. 13. β
- RIS319193 Raadsmededeling Bijlage Staat van de Stad 2024. College van Burgemeester en Wethouders. 18 juni 2024, p. 166. β
- RIS319193 Raadsmededeling Bijlage Staat van de Stad 2024. College van Burgemeester en Wethouders. 18 juni 2024, p. 190. β
- Armoede en sociale uitsluiting 2023. Centraal Bureau voor de Statistiek, 2023. β
- Een zeker bestaan: Naar een toekomstig stelsel van het sociaal minimum RapportΒ II,Β Commissie Sociaal Minimum. 28 september 2023,Β p. 50. β
- Nieuwe meetmethode CBS, SCP en Nibud brengt armoede scherper in beeld. Website CBS (17 oktober 2024). Zie: Nieuwe meetmethode CBS, SCP en Nibud brengt armoede scherper in beeld | CBS β
- Wet minimumloon en minimumvakantiebijslag. Geraadpleegd op wetten.nl – Regeling – Wet minimumloon en minimumvakantiebijslag – BWBR0002638 β
- Kansrijk armoedebeleid. Centraal Planbureau en Sociaal en Cultureel Planbureau. 2020, p. 179. β
- Een zeker bestaan: Naar een toekomstig stelsel van het sociaal minimum RapportΒ II,Β Commissie Sociaal Minimum. 28 september 2023,Β p. 127. β
- Bij het meten van de armoedecijfers volgens de lage inkomensgrens, die in dit rapport gebruikt worden, wordt enkel naar inkomen en vermogen gekeken. Bij de nieuwe methode om armoede te meten, die het CBS vanaf eind 2024 gebruikt worden ook vaste lasten meegenomen. Een uitleg van de verschillende armoedecijfers staat in bijlage 3. β
- Armoede en sociale uitsluiting 2023. Centraal Bureau voor de Statistiek, 2023, p.126; De nieuwe methode om armoede in Nederland te meten, CBS, NIBUD en SCP, 2024, p.12 β
- De incidentele energiemaatregelen uit 2022 en 2023 vormen hierop een uitzondering. Deze tijdelijke toeslag verhoogde het jaarinkomen voor huishoudens in 2022 dusdanig dat de armoedecijfers dat jaar tijdelijk daalden. β
- Kansrijk armoedebeleid. Centraal Planbureau en Sociaal en Cultureel Planbureau. 2020, p. 36. β
- Wat kan het beleid aan armoede doen? Vrooman, C. In: Armoede in kaart. Sociaal en Cultureel Planbureau. 27 september 2016, p. 101. β
- Wat kan het beleid aan armoede doen? Vrooman, C. In: Armoede in kaart. Sociaal en Cultureel Planbureau, 27 september 2016, p. 101; Kansrijk armoedebeleid. Centraal Planbureau en Sociaal en Cultureel Planbureau. 2020, p 110. β
- Voorbestemd tot achterstand. Sociaal en Cultureel Planbureau, M. Guiaux ; A. Roest, & J. Iedema. 1 september 2011, p. 25. β
- Kansrijk armoedebeleid. Centraal Planbureau en Sociaal en Cultureel Planbureau. 2020, p. 107. β
- Kansrijk armoedebeleid. Centraal Planbureau en Sociaal en Cultureel Planbureau. 2020, p. 112; β
- RIS319193 Raadsmededeling Bijlage Staat van de Stad 2024. College van Burgemeester en Wethouders. 18 juni 2024, p. 155. β
- Wat kan het beleid aan armoede doen? Vrooman, C. In: Armoede in kaart. Sociaal en Cultureel Planbureau. 27 september 2016, p. 101. β
- De nieuwe meetmethode voor armoedecijfers kijkt niet enkel naar het inkomen, maar bekijkt of men voldoende inkomen heeft om noodzakelijke uitgaven te kunnen bekostigen. Hiervoor worden de kosten voor vaste lasten aan wonen, energie en zorg afgetrokken van het inkomen, om vast te stellen of er voldoende geld overblijft voor andere basisbehoeften. Voor uitleg over de meetmethode, zie bijlage 3. β
- Wat kan het beleid aan armoede doen? Vrooman, C. In: Armoede in kaart. Sociaal en Cultureel Planbureau, 27 september 2016, p. 101. β
- Wat kan het beleid aan armoede doen? Vrooman, C. In: Armoede in kaart. Sociaal en Cultureel Planbureau, 27 september 2016, p. 101. β
- Kansrijk armoedebeleid. Centraal Planbureau en Sociaal en Cultureel Planbureau. 2020, p 87. β
- Kansrijk armoedebeleid. Centraal Planbureau en Sociaal en Cultureel Planbureau. 2020, p 114. β
- Ruimtelijke segregatie: kennissynthese. Kennisplatform Inclusief Samenleven. R. Engberse & M. Uyterlinde. Juni 2022, p. 7. β
- Multiscale Contextual Poverty in the Netherlands: Within and Between-Municipality Inequality. Applied Spatial Analysis and Policy. A. PetroviΔ, D. Manley & M. van Ham, 1 juni 2021. β
- Ruimtelijke segregatie: kennissynthese. Kennisplatform Inclusief Samenleven. R. Engberse & M. Uyterlinde. Juni 2022, p. 3. β
- Opgroeien in een kwetsbare wijk. Over buurteffecten en ervaringen van jongens en jonge mannen. Sociaal en Cultureel Planbureau. Kullberg, J., Mouktadibillah, R. & De Vries, J. 2020, p. 6. β
- Deze items zijn noodzakelijk voor huishoudens op het bestaansminimum volgens onderzoek van het Nibud. Het Nibud maakte dit overzicht op basis van een steekproefonderzoek onder zowel minimahuishoudens als de bredere bevolking. β
- Wat is genoeg om van te leven? Van den Brakel, M. en Vandewal, E. CBS, Nibud en SCP. 17 oktober 2024. β
- Individuele inkomenstoeslag aanvragen, website gemeente Den Haag (datum onbekend), Individuele inkomenstoeslag aanvragen – Den Haag, geraadpleegd op: 9 april 2025. β
- Leidraad Individuele Bijzondere Bijstand 2024, Gemeente Den Haag, juli 2024. β
- RIS319810 Collegebesluit Subsidieregeling geldzorgen en geldproblemen Den Haag 2024, College van burgemeester en wethouders, 9 september 2024, p. 2; SFHD helpt in de volgende situaties, website Sociale Fondsen Den Haag (datum onbekend), Situaties, geraadpleegd op: 9 april 2025. β
- Duurzame cadeaukaart aanvragen, website Duurzame Cadeaukaart (datum onbekend), Cadeaukaart aanvragen – Duurzame Cadeaukaart Den Haag, geraadpleegd op: 9 april 2025. β
- Subsidie voor Haagse woningeigenaren met een Ooievaarspas, website Ooievaarspas (datum onbekend), Subsidie voor Haagse woningeigenaren met een Ooievaarspas – Ooievaarspas, geraadpleegd op: 9 april 2025. β
- Uw huurwoning verduurzamen, website gemeente Den Haag (datum onbekend), Uw huurwoning verduurzamen – Den Haag, geraadpleegd op: 9 april 2025. β
- Initiatiefrecht voor huurders, website gemeente Den Haag (datum onbekend), Duurzame stad – Den Haag, geraadpleegd op 9 april 2025. β
- Geld lenen bij de Gemeentelijke Kredietbank, website gemeente Den Haag (datum onbekend), https://www.denhaag.nl/nl/geld-en-schulden/geld-lenen-bij-de-gemeentelijke-kredietbank/, geraadpleegd op: 9 april 2025. β
- Meer betaalbare en duurzame woningen in Den Haag, website gemeente Den Haag datum onbekend), Meer betaalbare en duurzame woningen in Den Haag – Den Haag – Pers, geraadpleegd op: 9 april 2025. β
- Achterstallig onderhoud aan woning melden, website gemeente Den Haag (datum onbekend), Achterstallig onderhoud aan woning melden – Den Haag, geraadpleegd op: 9 april 2025. β
- RIS316050 Collegebesluit Gelijke kansen voor Zuidwest. College van Burgemeester en Wethouders, 26 september 2023. β
- Individuele inkomenstoeslag aanvragen, website gemeente Den Haag (datum onbekend), Individuele inkomenstoeslag aanvragen – Den Haag, geraadpleegd op: 9 april 2025. β
- Leidraad Individuele Bijzondere Bijstand 2024, Gemeente Den Haag, juli 2024. β
- Geld lenen bij de Gemeentelijke Kredietbank, website gemeente Den Haag (datum onbekend), https://www.denhaag.nl/nl/geld-en-schulden/geld-lenen-bij-de-gemeentelijke-kredietbank/, geraadpleegd op: 9 april 2025. β
- Stichting Leergeld verstrekt wel een smartphone aan brugklassers. β
- Haagse zorgverzekering bij VGZ, website gemeente Den Haag (datum onbekend), Haagse zorgverzekering bij VGZ – Den Haag, geraadpleegd op: 9 april 2025. β
- Haagse zorgverzekering bij VGZ, website gemeente Den Haag (datum onbekend), Haagse zorgverzekering bij VGZ – Den Haag, geraadpleegd op: 9 april 2025. β
- Subsidieregister, website gemeente Den Haag (datum onbekend). Geraadpleegd op 2 september 2025. Zie: Alle subsidies | Subsidieregister Gemeente Den Haag β
- Geraadpleegd op Fiets, website Leergeld Den haag (datum onbekend), Fiets, geraadpleegd op: 9 april 2025. β
- Fiets, website Leergeld Den haag (datum onbekend), Fiets, geraadpleegd op: 9 april 2025. β
- RIS319810 Collegebesluit Subsidieregeling geldzorgen en geldproblemen Den Haag 2024, College van burgemeester en wethouders, 9 september 2024, p. 2; SFHD helpt in de volgende situaties, website Sociale Fondsen Den Haag (datum onbekend), Situaties, geraadpleegd op: 9 april 2025. β
- Subsidieregister, website gemeente Den Haag (datum onbekend). Geraadpleegd op 2 september 2025. Zie: Alle subsidies | Subsidieregister Gemeente Den Haag. β
- Subsidieregister, website gemeente Den Haag (datum onbekend). Geraadpleegd op 2 september 2025. Zie: Alle subsidies | Subsidieregister Gemeente Den Haag. β
- Ondersteuning bij maaltijden, website gemeente Den Haag (datum onbekend), Ondersteuning bij maaltijden – Den Haag, geraadpleegd op: 9 april 2025. β
- RIS319810 Collegebesluit Subsidieregeling geldzorgen en geldproblemen Den Haag 2024, College van burgemeester en wethouders, 9 september 2024, p. 2; β
- Subsidieregeling eten en ontmoeten Den Haag 2024, 2025. Geraadpleegd op Subsidieregeling eten en ontmoeten Den Haag 2024 | Lokale wet- en regelgeving; Subsidieregister, website gemeente Den Haag (datum onbekend). Geraadpleegd op 2 september 2025. Zie: Alle subsidies | Subsidieregister Gemeente Den Haag. β
- Gratis lid met ooievaarspas, website Bibliotheek Den Haag (datum onbekend), Gratis lid met ooievaarspas, geraadpleegd op: 9 april 2025. β
- Speelgoedbeurs, website Ooievaarspas (datum onbekend), Speelgoedbeurs – Ooievaarspas, geraadpleegd op: 9 april 2025. β
- Voor gemeenten, website Jeugdeducatiefonds (datum onbekend), Voor gemeenten – Jeugdeducatiefonds, geraadpleegd op: 4 juni 2025. β
- Subsidieregeling primair onderwijs Den Haag 2024, 2024. Geraadpleegd op Subsidieregeling primair onderwijs Den Haag 2024 | Lokale wet- en regelgeving β
- Bijzondere aanvragen, website Leergeld Den Haag (datum onbekend), Bijzondere aanvragen, geraadpleegd op: 9 april 2025. β
- Speelgoedbon, website Leergeld Den Haag (datum onbekend), Speelgoedbon, geraadpleegd op: 9 april 2025.Β β
- Dit overzicht is nadrukkelijk geen compleet en sluitend overzicht van alle activiteiten van de gemeente. Het is bedoeld om de belangrijkste aandachtspunten van de gemeente in kaart te brengen en inzichtelijk te maken op welke gebieden er meer of minder aandacht is. β
- We hebben hierin de acties die het college uitvoert binnen het programma Vergroten Bereik meegenomen (zie ook de volgende paragraaf over het bereik van de regelingen). De uitvoering van het Programma Vergroten bereik loopt nog in 2025. β
- Intern document: Programmaplan Vergroten gebruik minimaregelingen en FinanciΓ«le hulpverlening, juni 2023, p. 12. β
- RIS315197 Raadsmededeling Bijlage Aanpak Geldzorgen en Geldproblemen 2022 β 2023, College van Burgemeester en Wethouders, 11 april 2023, p. 46-47. β
- RIS319849 Raadsmededeling Bijlage Aanpak Geldzorgen en Geldproblemen 2023-2024, College van Burgemeester en Wethouders, september 2024, p. 37. β
- Intern document 20250217 Resultaten Overzicht Programma CX SZW, 17 februari 2025 (publicatiedatum). β
- Intern document 20250217 Resultaten Overzicht Programma CX SZW, 17 februari 2025 (publicatiedatum). β
- RIS315197 Raadsmededeling Bijlage Aanpak Geldzorgen en Geldproblemen 2022 β 2023, College van Burgemeester en Wethouders, 11 april 2023, 42. β
- RIS319849 Raadsmededeling Bijlage Aanpak Geldzorgen en Geldproblemen 2023-2024, College van Burgemeester en Wethouders, september 2024, p. 14. β
- RIS319849 Raadsmededeling Bijlage Aanpak Geldzorgen en Geldproblemen 2023-2024, College van Burgemeester en Wethouders, september 2024, p. 38. β
- Intern document 20231231 Programmaplan Vergroten Gebruik van Ooievaarsregelingen en FinanciΓ«le Hulpverlening 2023, 16 oktober 2023 (publicatiedatum). β
- RIS319849 Raadsmededeling Bijlage Aanpak Geldzorgen en Geldproblemen 2023-2024, College van Burgemeester en Wethouders, september 2024, p. 38. β
- RIS318640 Raadsvoorstel Bijlage Programmarekening 2023, College van Burgemeester en Wethouders, 26 april 2024, p. 109. β
- RIS319849 Raadsmededeling Bijlage Aanpak Geldzorgen en Geldproblemen 2023-2024, College van Burgemeester en Wethouders, september 2024, p. 36. β
- Intern document 20240603 Voortgangsrapportage 2604-0606, 3 juni 2024 (publicatiedatum). β
- Intern document 20240304 Up-date beleid opgave Vergroten Gebruik – MIT IO, 18 juni 2025 (publicatiedatum). β
- Uitvraag ambtelijke organisatie β
- RIS307290 Commissiebrief Armoedebrief 2020-2021, College van Burgemeester en Wethouders, 17 december 2020, p. 5. β
- RIS319849 Raadsmededeling Bijlage Aanpak Geldzorgen en Geldproblemen 2023-2024, College van Burgemeester en Wethouders, september 2024, p. 16. β
- RIS316672 Coalitieakkoord Haagse akkoord 2023-2026, 2 oktober 2023, p. 50. β
- RIS315197 Raadsmededeling Bijlage Aanpak Geldzorgen en Geldproblemen 2022 β 2023, College van Burgemeester en Wethouders, 11 april 2023, p. 18. β
- Intern document 20240304 Up-date beleid opgave Vergroten Gebruik – MIT IO, 18 juni 2025 (publicatiedatum). β
- RIS315197 Raadsmededeling Bijlage Aanpak Geldzorgen en Geldproblemen 2022 β 2023, College van Burgemeester en Wethouders, 11 april 2023, p. 28. β
- RIS309254 Beantwoording SV Ruim een derde van de mensen met recht op bijstand vraagt die niet aan, College van Burgemeester en Wethouders, 15 november 2021. β
- Uitvraag ambtelijke organisatie β
- RIS319849 Raadsmededeling Bijlage Aanpak Geldzorgen en Geldproblemen 2023-2024, College van Burgemeester en Wethouders, september 2024, p. 33. β
- Intern document 20231231 Programmaplan Vergroten Gebruik van Ooievaarsregelingen en FinanciΓ«le Hulpverlening 2023, 16 oktober 2023 (publicatiedatum). β
- Uitvraag ambtelijke organisatie β
- Intern document 20231231 Programmaplan Vergroten Gebruik van Ooievaarsregelingen en FinanciΓ«le Hulpverlening 2023, 16 oktober 2023 (publicatiedatum). β
- RIS315197 Raadsmededeling Bijlage Aanpak Geldzorgen en Geldproblemen 2022 β 2023, College van Burgemeester en Wethouders, 11 april 2023, p. 45. β
- Intern document Jaarplan Externe communicatie IPV 2023, (datum onbekend). β
- RIS319849 Raadsmededeling Bijlage Aanpak Geldzorgen en Geldproblemen 2023-2024, College van Burgemeester en Wethouders, september 2024, p. 33. β
- RIS307814 Commissiebrief Beantwoording technische vragen aanbiedingsbrief armoedebestrijding, College van Burgemeester en Wethouders, 16 februari 2021. β
- RIS318640 Raadsvoorstel Bijlage Programmarekening 2023, College van Burgemeester en Wethouders, 26 april 2024, p. 294. β
- RIS312006 Raadsvoorstel Bijlage Programmarekening 2021, College van Burgemeester en Wethouders, 10 mei 2022, p. 113; RIS318640 Raadsvoorstel Bijlage Programmarekening 2023, College van Burgemeester en Wethouders, 26 april 2024, p. 108; RIS319849 Raadsmededeling Bijlage 3 Aanpak Geldzorgen en Geldproblemen 2023-2024, College van Burgemeester en Wethouders, september 2024, p. 13. β
- RIS315197 Raadsmededeling Bijlage Aanpak Geldzorgen en Geldproblemen 2022 β 2023, College van Burgemeester en Wethouders, 11 april 2023, p. 44; RIS319849 Raadsmededeling Bijlage Aanpak Geldzorgen en Geldproblemen 2023-2024, College van Burgemeester en Wethouders, september 2024, p. 38. β
- RIS315197 Raadsmededeling Bijlage Aanpak Geldzorgen en Geldproblemen 2022 β 2023, College van Burgemeester en Wethouders, 11 april 2023, p. 45. β
- RIS315197 Raadsmededeling Bijlage Aanpak Geldzorgen en Geldproblemen 2022 β 2023, College van Burgemeester en Wethouders, 11 april 2023, p. 47. β
- RIS315197 Raadsmededeling Bijlage Aanpak Geldzorgen en Geldproblemen 2022 β 2023, College van Burgemeester en Wethouders, 11 april 2023, p. 22. β
- RIS319849 Raadsmededeling Bijlage Aanpak Geldzorgen en Geldproblemen 2023-2024, College van Burgemeester en Wethouders, september 2024, p. 16. β
- RIS319849 Raadsmededeling Bijlage Aanpak Geldzorgen en Geldproblemen 2023-2024, College van Burgemeester en Wethouders, september 2024, p. 39. β
- RIS315197 Raadsmededeling Bijlage Aanpak Geldzorgen en Geldproblemen 2022-2023, College van Burgemeester en Wethouders, 11 april 2024, p. 21. β
- Intern document 20240304 Up-date beleid opgave Vergroten Bereik, 18 juni 2025 (publicatiedatum). β
- RIS315197 Raadsmededeling Bijlage Aanpak Geldzorgen en Geldproblemen 2022 β 2023, College van Burgemeester en Wethouders, 11 april 2023, p. 18. β
- Intern document 20240304 Up-date beleid opgave Vergroten Gebruik – MT IO, 4 maart 2024 (publicatiedatum). β
- Intern document 20240304 Up-date beleid opgave Vergroten Gebruik – MT IO, 4 maart 2024 (publicatiedatum). β
- Intern document 20240603 Voortgangsrapportage 2604-0606, 3 juni 2024 (publicatiedatum). β
- RIS315197 Raadsmededeling Bijlage Aanpak Geldzorgen en Geldproblemen 2022 β 2023, College van Burgemeester en Wethouders, 11 april 2023, p. 45. β
- RIS319849 Raadsmededeling Bijlage Aanpak Geldzorgen en Geldproblemen 2023-2024, College van Burgemeester en Wethouders, september 2024, p. 16. β
- Intern document 20231231 Programmaplan Vergroten Gebruik van Ooievaarsregelingen en FinanciΓ«le Hulpverlening 2023, 16 oktober 2023 (publicatiedatum). β
- Intern document 20240617 Bijeenkomst 17 juni – Vergroten Gebruik β Review, 17 juni 2024 (publicatiedatum). β
- RIS315197 Raadsmededeling Bijlage Aanpak Geldzorgen en Geldproblemen 2022 β 2023, College van Burgemeester en Wethouders, 11 april 2023, p. 17. β
- Intern document 20231231 Programmaplan Vergroten Gebruik van Ooievaarsregelingen en FinanciΓ«le Hulpverlening 2023, 16 oktober 2023 (publicatiedatum). β
- RIS315197 Raadsmededeling Bijlage Aanpak Geldzorgen en Geldproblemen 2022 β 2023, College van Burgemeester en Wethouders, 11 april 2023, p. 23. β
- Overzicht Ooievaarsregelingen, website gemeente Den Haag (datum onbekend), Overzicht Ooievaarsregelingen – Den Haag, geraadpleegd op 11 juni 2025. β
- RIS308137 Afdoening motie Slimmer automatisch verlengen en koppelen armoederegelingen, College van Burgemeester en Wethouders, 13 juni 2021. β
- RIS315197 Raadsmededeling Bijlage Aanpak Geldzorgen en Geldproblemen 2022 β 2023, College van Burgemeester en Wethouders, 11 april 2023, p. 42. β
- RIS308137 Afdoening motie Slimmer automatisch verlengen en koppelen armoederegelingen, College van Burgemeester en Wethouders, 13 juni 2021. β
- Intern document 20240304 Up-date beleid opgave Vergroten Gebruik – MT IO, 4 maart 2024 (publicatiedatum); Intern document 20231231 Programmaplan Vergroten Gebruik van Ooievaarsregelingen en FinanciΓ«le Hulpverlening 2023, 16 oktober 2023 (publicatiedatum). β
- Intern document 20231231 Programmaplan Vergroten Gebruik van Ooievaarsregelingen en FinanciΓ«le Hulpverlening 2023, 16 oktober 2023 (publicatiedatum). β
- Intern document 20231231 Programmaplan Vergroten Gebruik van Ooievaarsregelingen en FinanciΓ«le Hulpverlening 2023, 16 oktober 2023 (publicatiedatum). β
- Intern document 20240304 Up-date beleid opgave Vergroten Gebruik – MT IO, 4 maart 2024 (publicatiedatum). β
- Intern document 20231231 Programmaplan Vergroten Gebruik van Ooievaarsregelingen en FinanciΓ«le Hulpverlening 2023, 16 oktober 2023 (publicatiedatum). β
- Intern document 20231231 Programmaplan Vergroten Gebruik van Ooievaarsregelingen en FinanciΓ«le Hulpverlening 2023, 16 oktober 2023 (publicatiedatum); Intern document 20240304 Up-date beleid opgave Vergroten Gebruik – MT IO, 4 maart 2024 (publicatiedatum). β
- RIS319849 Raadsmededeling Bijlage Aanpak Geldzorgen en Geldproblemen 2023-2024, College van Burgemeester en Wethouders, september 2024, p. 35. β
- RIS318640 Raadsvoorstel Bijlage Programmarekening 2023, College van Burgemeester en Wethouders, 26 april 2024, p. 107. β
- RIS319849 Raadsmededeling Bijlage Aanpak Geldzorgen en Geldproblemen 2023-2024, College van Burgemeester en Wethouders, september 2024, p. 35. β
- RIS311483 Commissiebrief Bijlage Armoedebestrijding en FinanciΓ«le Hulpverlening Den Haag 2021-2022, 9 februari 2022, p. 38. β
- RIS318640 Raadsvoorstel Bijlage Programmarekening 2023, College van Burgemeester en Wethouders, 26 april 2024, p. 108. β
- RIS309257 Beantwoording schriftelijke vraag Ruim een derde van de mensen met recht op bijstand vraagt niet aan, College van Burgemeester en Wethouders, 18 juni 2021, p. 2. β
- RIS315197 Raadsmededeling Bijlage Aanpak Geldzorgen en Geldproblemen 2022 β 2023, College van Burgemeester en Wethouders, 11 april 2023, p. 17. β
- RIS315197 Raadsmededeling Bijlage Aanpak Geldzorgen en Geldproblemen 2022 β 2023, College van Burgemeester en Wethouders, 11 april 2023, p. 7. β
- RIS311483 Commissiebrief Bijlage Armoedebestrijding en FinanciΓ«le Hulpverlening Den Haag 2021-2022, 9 februari 2022, p. 19. β
- RIS306159 Raadsvoorstel Bijlage Programmabegroting 2021-2024, College van Burgemeester en Wethouders, 8 september 2020, p. 71. β
- Intern document 20250217 Resultaten Overzicht Programma CX SZW 2024 β Definitief, 17 februari 2025 (publicatiedatum). β
- RIS318640 Raadsvoorstel Bijlage Programmarekening 2023, College van Burgemeester en Wethouders, 26 april 2024, p. 99. β
- Intern document 20240304 Up-date beleid opgave Vergroten Gebruik – MT IO, 4 maart 2024 (publicatiedatum); Intern document 20231231 Programmaplan Vergroten Gebruik van Ooievaarsregelingen en FinanciΓ«le Hulpverlening 2023, 16 oktober 2023 (publicatiedatum). β
- RIS318640 Raadsvoorstel Bijlage Programmarekening 2023, College van Burgemeester en Wethouders, 26 april 2024, p. 107. β
- Uitvraag ambtelijke organisatie β
- RIS308137 Afdoening motie Slimmer automatisch verlengen en koppelen armoederegelingen, College van Burgemeester en Wethouders, 13 juni 2021. β
- RIS318640 Raadsvoorstel Bijlage Programmarekening 2023, College van Burgemeester en Wethouders, 26 april 2024, p. 107. β
- Uitvraag ambtelijke organisatie β
- RIS319849 Raadsmededeling Bijlage Aanpak Geldzorgen en Geldproblemen 2023-2024, College van Burgemeester en Wethouders, september 2024, p. 35. β
- RIS312736 Afdoening motie Sluit geen minimakinderen uit van de Ooievaarspas, College van Burgemeester en Wethouders, 13 september 2022. β
- Intern document 20240304 Up-date beleid opgave Vergroten Gebruik – MT IO, 4 maart 2024 (publicatiedatum). β
- Intern document 20250217 Resultaten Overzicht Programma CX SZW 2024 β Definitief, 17 februari 2025 (publicatiedatum). β
- RIS308137 Afdoening motie Slimmer automatisch verlengen en koppelen armoederegelingen, College van Burgemeester en Wethouders, 13 juni 2021. β
- RIS318640 Raadsvoorstel Bijlage Programmarekening 2023, College van Burgemeester en Wethouders, 26 april 2024, p. 98. β
- Uitvraag ambtelijke organisatie β
- RIS315197 Raadsmededeling Bijlage Aanpak Geldzorgen en Geldproblemen 2022 β 2023, College van Burgemeester en Wethouders, 11 april 2023, p. 28, 30. β
- RIS307290 Commissiebrief Armoedebrief 2020-2021, College van Burgemeester en Wethouders, 17 december 2020, p. 13. β
- Uitvraag ambtelijke organisatie β
- Intern document Jaarplan Externe communicatie IPV 2023 (datum onbekend). β
- RIS307290 Commissiebrief Armoedebrief 2020-2021, College van Burgemeester en Wethouders, 17 december 2020, p. 11. β
- RIS312006 Raadsvoorstel Bijlage Programmarekening 2021, College van Burgemeester en Wethouders, 10 mei 2022, p. 113. β
- Uitvraag ambtelijke organisatie β
- Uitvraag ambtelijke organisatie β
- Uitvraag ambtelijke organisatie β
- RIS311975 Raadsvoorstel Bijlage Programmarekening 2024, p. 226, College van Burgemeester en Wethouders, 7 mei 2025, p. 226. β
- RIS316672 Coalitieakkoord Haagse akkoord 2023-2026, 2 oktober 2023, p. 50. β
- Lage-inkomensgrens. Website CBS (datum onbekend). Lage-inkomensgrens | CBS, geraadpleegd op 24 februari 2025. β
- RIS317583 Motie Rekenkameronderzoek efficiency armoedebeleid, Gemeenteraad, 23 december 2023. β
- Voorbeeldbegrotingen en referentiecijfers. Website Nibud (datum onbekend). Voorbeeldbegrotingen en referentiecijfers – Nibud. Geraadpleegd op 24 februari 2025. β
- RIS319849 Bijlage Minima-effectrapportage gemeente Den Haag 2024. College van Burgemeester en Wethouders. 15 maart 2024. β
- Op weg naar een nieuwe armoedegrens, SCP, CBS, Nibud, F. Otten, J. Bos, B. Goderis en anderen, 30 juni 2023, p.8 β
- Ramingsmethodiek armoederaming, Centraal Planbureau, I. Deinum & E. Griffioen, december 2022, p. 5. β
- Een nieuwe methode om armoede in Nederland te meten β Samenvatting. Website CBS (17 oktober 2024), https://www.cbs.nl/nl-nl/longread/rapportages/2024/een-nieuwe-methode-om-armoede-in-nederland-te-meten-samenvatting?onepage=true. Geraadpleegd op 28 februari 2025. β
- Een nieuwe methode om armoede in Nederland te meten β Samenvatting. Website CBS (17 oktober 2024), https://www.cbs.nl/nl-nl/longread/rapportages/2024/een-nieuwe-methode-om-armoede-in-nederland-te-meten-samenvatting?onepage=true. Geraadpleegd op 28 februari 2025. β
- Een zeker bestaan: Naar een toekomstbestendig stelsel van het sociaal minimum Rapport I, Commissie Sociaal Minimum, 30 juni 2023. β
- Een zeker bestaan: Naar een toekomstbestendig stelsel van het sociaal minimum Rapport II, Commissie Sociaal Minimum, 30 juni 2023. β
- RIS319849 Raadsmededeling Bijlage Armoedemonitor 2023. College van Burgemeester en Wethouders, 10 september 2024. β
Inzicht in gemeentelijk armoedebeleid


